10.02.21 and 11.02.21 - Year 11 - L16 - Language Paper 1 Q5

Last updated almost 5 years ago
1 question
1

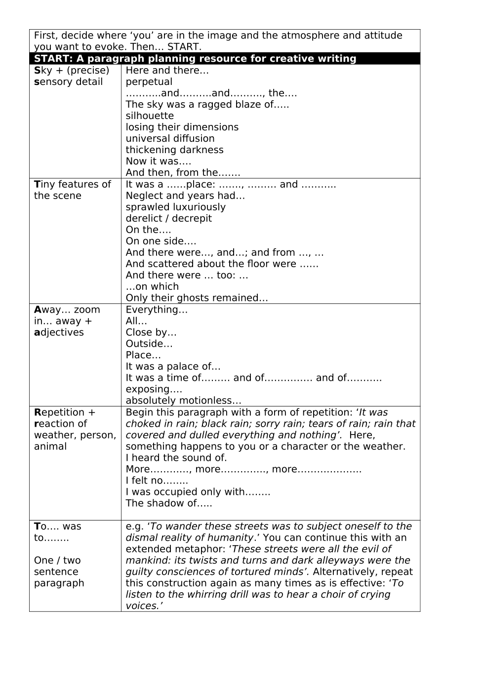
Write a description as suggested by this image. Use the 'START' sheet attached above to help you! Some of the sentence starters for 'START' are listed below too!
Sky:
Here and there...
Perpetual...
Thickening darkness...
Now it was...
The sky was a ragged blaze of...

Tiny detail:
It was a ______ place: _____, ______ and ______
Neglect and years had...
On the one side...
And scattered about the floor were...
And there were ________ too as...