Log in
Sign up for FREE
arrow_back
Library

Chapter 5 Test B

star
star
star
star
star
Last updated over 3 years ago
20 questions
1
1
1
1
1
1
2
1
2
1
3
3
2
3
3
3
3
1
3
1
Question 1
1.

Question 2
2.

Question 3
3.

Question 4
4.

Question 5
5.

Question 6
6.

Question 7
7.

Question 8
8.

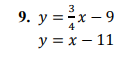
Question 9
9.

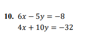
Question 10
10.

Question 11
11.

Question 12
12.

Question 13
13.

Solve by graphing. Show your work for credit.

Question 14
14.

Show your work for credit!

Question 15
15.

Show your work for credit.

Question 16
16.

Show your work for credit.

Question 17
17.

Show all your work for credit! You must solve by graphing, elimination, or substitution for full credit. Don't guess and check.
How old is Cami?

Question 18
18.

11b How old is Enrique from the previous problem? If your work for Enrique's age is shown on the previous problem, you don't have to show it twice. If you did not show your work for Enrique's age, show it here.

Question 19
19.

Show all your work for credit! You must solve by graphing, elimination, or substitution for full credit. Don't guess and check.
How much are adult tickets?

Question 20
20.

How much is a children's ticket from the previous problem? If you showed your work in the previous problem you do not have to show it here. If you did not solve for the child ticket price, show your remaining work here.

A
B
C
D
Show your work for credit.

A
B
C
D
A
B
C
D
Show your work algebraicially or using a the provided graph for credit.
A
B
C
D
5a. Show work for credit.

True
False
True
False
5c Show work for credit.

True
False
6. Show your work for credit.
A
B
C
Show your work for credit.
A
B
C
D
A
B
C
D
Explain your reasoning in the show work section.
Relationship: Parallel
Relationship: Same Line
Relationship Intersecting
Solutions: 0
Solutions: 1
Solutions Infinite
Explain your reasoning in the show work section.
Relationship: Parallel
Relationship: Same Line
Relationship Intersecting
Solutions: 0
Solutions: 1
Solutions Infinite