Log in
Sign up for FREE
arrow_back
Library

Unit 6 Preview (After Unit 5 Test)

star
star
star
star
star
Last updated almost 4 years ago
22 questions
1
A.5.a
1
A.5.a
1
A.5.a
1
A.5.a
1
A.5.a
1
A.5.a
1
A.5.a
1
A.5.a
1
A.5.c
1
A.5.c
1
A.5.c
1
A.5.c
1
A.5.c
1
A.5.c
1
A.5.c
1
A.5.c
1
1
A.5.a
1
A.5.a
1
A.5.a
1
A.5.a
1
A.5.a
Question 1
1.

Look at the work shown. Determine whether the problem was solved correctly.

Question 2
2.

If not correct, what was the mistake? If correct, just type "correct".

Question 3
3.

Look at the work shown. Determine whether the problem was solved correctly.

Question 4
4.

If not correct, what was the mistake? If correct, just type "correct".

Question 5
5.

Look at the work shown. Determine whether the problem was solved correctly.

Question 6
6.

If not correct, what was the mistake? If correct, just type "correct".

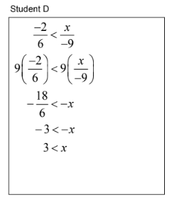
Question 7
7.

Look at the work shown. Determine whether the problem was solved correctly.

Question 8
8.

If not correct, what was the mistake? If correct, just type "correct".

Write an INEQUALITY to represent each situation, then solve. Use x for your variable!
Question 9
9.

During the summer you want to read at least 32 books. You have read 21 books so far this summer. What are the possible numbers of books you can read to meet your goal? (Write the original inequality)

Question 10
10.

Write your final solution as an inequality.

Question 11
11.

You received a $25 gift card to a sporting goods store for your birthday. You are looking at skateboards and want to spend no more than $85 (including the gift card). How much of your own money could you spend? (Write the original inequality)

Question 12
12.

Write your final solution as an inequality.

Question 13
13.

You are a big baseball fan. You have a goal of attending a baseball game in every major league stadium in the country. Every time you go to a different stadium, you buy a baseball hat. You keep your hats in a display case that holds 25 hats. You have 8 baseball hats so far. What are the possible numbers of hats you can collect without needing another display case? (Write the original inequality)

Question 14
14.

Solve the inequality:

Question 15
15.

You are in charge of buying the flowers for the flower beds around your school. You cannot spend over $80 on flowers. The flowers cost $10.99 for a flat of flowers. What are the possible numbers of flats of flowers you can buy? (Write the original inequality)

Question 16
16.

Solve the inequality:

Question 17
17.

How many flats of flowers can be bought?

Question 18
18.

Solve the inequality:
Graph your solution. Make sure to label three numbers on the line (your solution goes in the middle!)

Question 19
19.

Solve the inequality:
Graph your solution. Make sure to label three numbers on the line (your solution goes in the middle!)

Question 20
20.

Solve the inequality:
Graph your solution. Make sure to label three numbers on the line (your solution goes in the middle!)

Question 21
21.

Solve the inequality:
Graph your solution. Make sure to label three numbers on the line (your solution goes in the middle!)

Question 22
22.

Solve the inequality: