Log in
Sign up for FREE
arrow_back
Library
Ch 6 Quiz #2
By Elizabeth Ludy
star
star
star
star
star
Share
share
Last updated about 5 years ago
3 questions
Add this activity
Note from the author:
Graphing
1
Question 1
1.
Graph
visibility
View drawing
2
Question 2
2.
Graph
visibility
View drawing
3
Question 3
3.
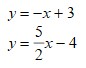
Graph the System. (Don't forget to write your solution in a coordinate pair.)
visibility
View drawing