Log in
Sign up for FREE
arrow_back
Library
Simplifying Expressions with Exponents
By Donna Sargent
star
star
star
star
star
Share
share
Last updated about 5 years ago
8 questions
Add this activity
1
1
1
1
1
1
1
1
Question 1
1.
Simplify (-2v
-1
)(3u
2
v
3
)(-2u
4
v
-1
)
Question 2
2.
Simplify (-3xy
2
)(2xy
3
)
Question 3
3.
Simplify (2a
-2
b
4
.
2a
-4
b
0
)
-3
Question 4
4.
Simplify u
-3
v
4
(u
-4
v
3
)
3
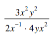
Question 5
5.
Simplify
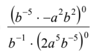
Question 6
6.
Simplify
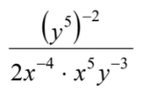
Question 7
7.
Simplify
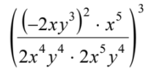
Question 8
8.
Simplify