Log in
Sign up for FREE
arrow_back
Library

Checkpoint #6: Esters

star
star
star
star
star
Last updated about 1 year ago
5 questions
Required
2
Required
2
Required
2
2
Required
2
Question 1
1.

Question 2
2.

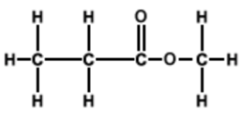
Provide the IUPAC name of the following molecule:

Question 3
3.

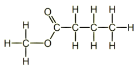
Provide the name of the alcohol that was used to make the following ester:

Question 4
4.

Provide the name of the carboxylic acid that was used to make the following ester:

Question 5
5.

Which one of the following molecules is an ester?
Isomers are different organic moleucles with the same molecular formula but different structural formula Which of the following molecules is an isomer of this one?
none of these are isomers