Chapter 5 Test BT No 2/10/2021
star
star
star
star
star
Last updated over 3 years ago
15 questions
1
1
Show your work for credit!
Show your work for credit!
1
1
1
Solve by graphing the equation in the show your work section for credit.
Solve by graphing the equation in the show your work section for credit.
1
2
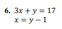
Show your work for credit.
Show your work for credit.
3
Select three responses, one for each category (Relationship, Number of Solutions, Reasoning)
Select three responses, one for each category (Relationship, Number of Solutions, Reasoning)
3
Select three responses, one for each category (Relationship, Number of Solutions, Reasoning)
Select three responses, one for each category (Relationship, Number of Solutions, Reasoning)
1
Show your work for credit.
Show your work for credit.
2
Solve by graphing. Use the show your work section to graph the equation.
Solve by graphing. Use the show your work section to graph the equation.
2
Show your work by graphing in the show your work section.
Show your work by graphing in the show your work section.
3
Show your work for credit.
Show your work for credit.
1
Show your work for credit.
Show your work for credit.
3
