Log in
Sign up for FREE
arrow_back
Library
Polynomial Operations Review
By Michelle Shivers
star
star
star
star
star
Share
share
Last updated about 5 years ago
20 questions
Add this activity
1
1
1
1
1
1
1
1
1
1
1
1
1
1
1
1
1
1
1
1
Watch the vidoes to review the steps for each polynomial operation. Then answer the given questions.
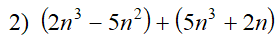
For problems 1-4, simplify each sum.
Question 1
1.
Question 2
2.
Question 3
3.
Question 4
4.
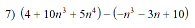
For problems 5-8, find each difference.
Question 5
5.
Question 6
6.
Question 7
7.
Question 8
8.
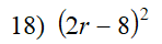
For problems 9-18, find each product.
Question 9
9.
Question 10
10.
Question 11
11.
Question 12
12.
Question 13
13.
Question 14
14.
Question 15
15.
Question 16
16.
Question 17
17.
Question 18
18.
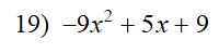
For problems 19-20, classify each polynomial by degree and number of terms. You should have two answers for each.
Question 19
19.
constant
linear
quadratic
cubic
monomial
binomial
trinomial
Question 20
20.
constant
linear
quadratic
cubic
monomial
binomial
trinomial