Log in
Sign up for FREE
arrow_back
Library

7.1.1 Review & Preview

star
star
star
star
star
Last updated about 7 hours ago
10 questions
1
1
1
1
1
1
1
1
1
1
Question 1
1.

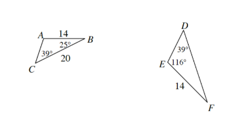
Assume the triangles above are not drawn to scale. Complete a proof to justify the relationship between the two triangles. Homework Help

Question 2
2.

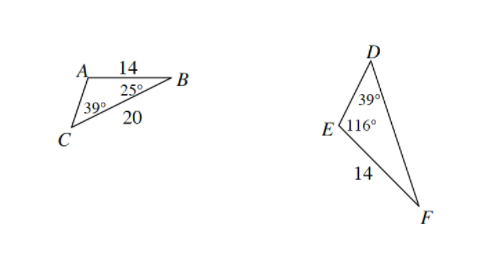
Find AC and DF. Homework Help

Question 3
3.

Use the relationships in the diagram at right to find the values of each variable. Write your values directly onto the picture. Use arrows to track the order and name which geometric relationships you used. Homework Help

Question 4
4.

A rectangle has one side of length 11 mm and a diagonal of 61 mm. Draw a diagram of this rectangle and find its width and area. Homework Help

Question 5
5.

Troy is thinking of a shape. He says that it has four sides and that no sides have equal length. He also says that no sides are parallel. What is the best name for his shape? Homework Help

Without using your calculator, find the exact values of x and y in each diagram below. Homework Help
Question 6
6.

Question 7
7.

Question 8
8.

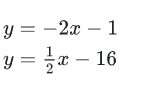
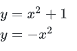
Solve each system of equations below, if possible. If it is not possible, explain what the lack of an algebraic solution tells you about the graphs of the equations. Write each solution in the form (x,y). Show all work. Homework Help
Question 9
9.

Question 10
10.