Cladogram Practice Packet
star
star
star
star
star
Last updated almost 5 years ago
26 questions

1
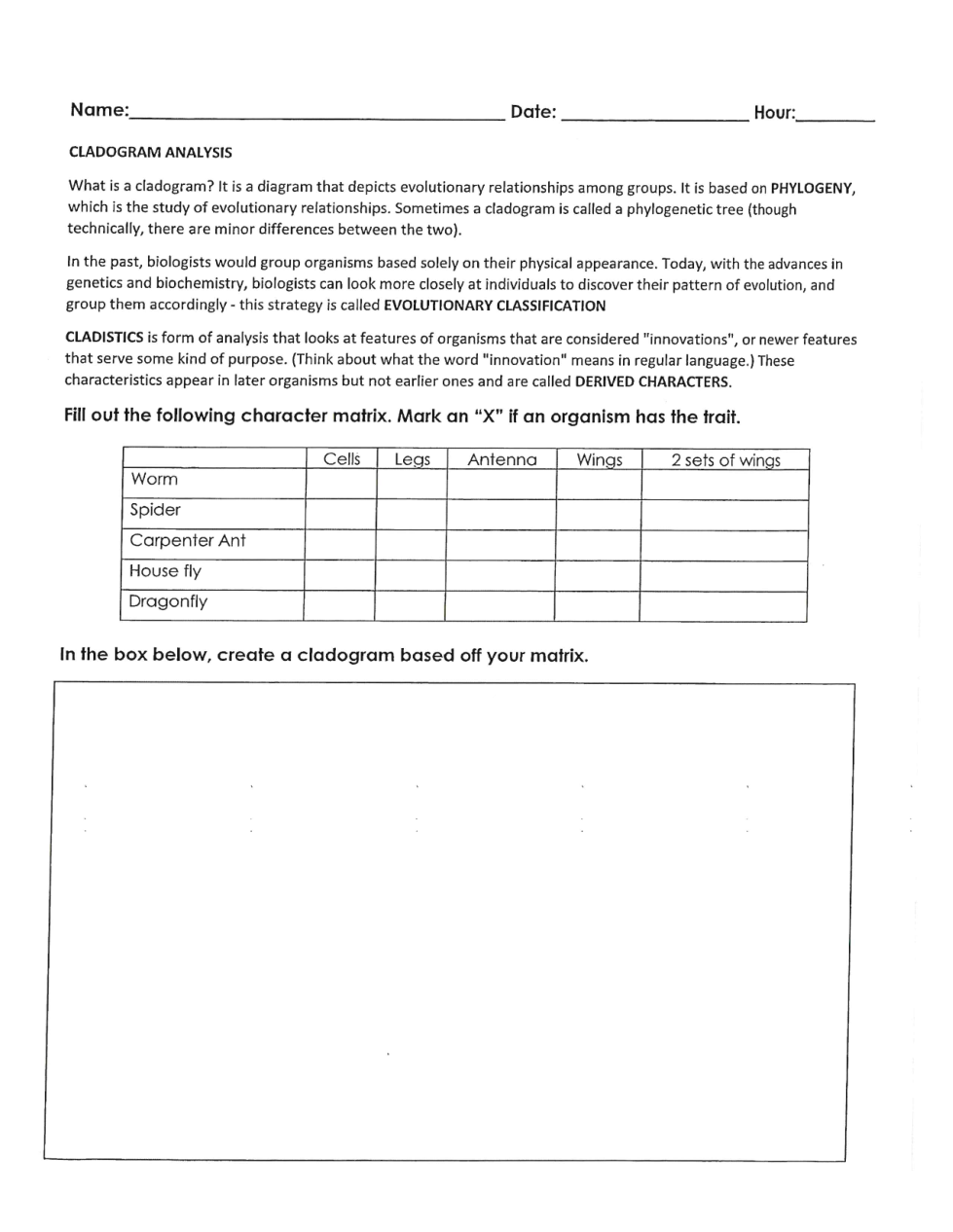
Click all that apply to the following organism: WORM
Click all that apply to the following organism: WORM
1
Click all that apply to the following organism: SPIDER
Click all that apply to the following organism: SPIDER
1
Click all that apply to the following organism: CARPENTER ANT
Click all that apply to the following organism: CARPENTER ANT
1
Click all that apply to the following organism: HOUSE FLY
Click all that apply to the following organism: HOUSE FLY
1
Click all that apply to the following organism: DRAGONFLY
Click all that apply to the following organism: DRAGONFLY
1

1
1
1
1
1
1

1
1
1
1
1

1
1
1
1
1
1
1
1
1