Log in
Sign up for FREE
arrow_back
Library

Unit 3 Quiz 2

star
star
star
star
star
Last updated 3 months ago
12 questions
Instructions:
Part I: Multiple Choice
Your total score on the multiple choice section is based only on the number of questions answered correctly. Give only one answer to each question. Use your time effectively, do not spend too much time on any one question. Go on to other questions and come back to the ones you have not answered if you have time.
Part II: Free-Response
Show all of your work. Clearly label functions, graphs, tables, or other objects that you use. Your work will be scored on the correctness and completeness of your methods as well as your answers. Answers without supporting work will not receive credit. Unless otherwise specified, answers need not be simplified. If you use decimal approximations, your final answer should be accurate to three places after the decimal point.
1
1
1
1
1
1
1
1
1
2
Question 10
10.
2
Question 11
11.
5
Question 12
12.
Question 1
1.
Question 2
2.
Question 3
3.
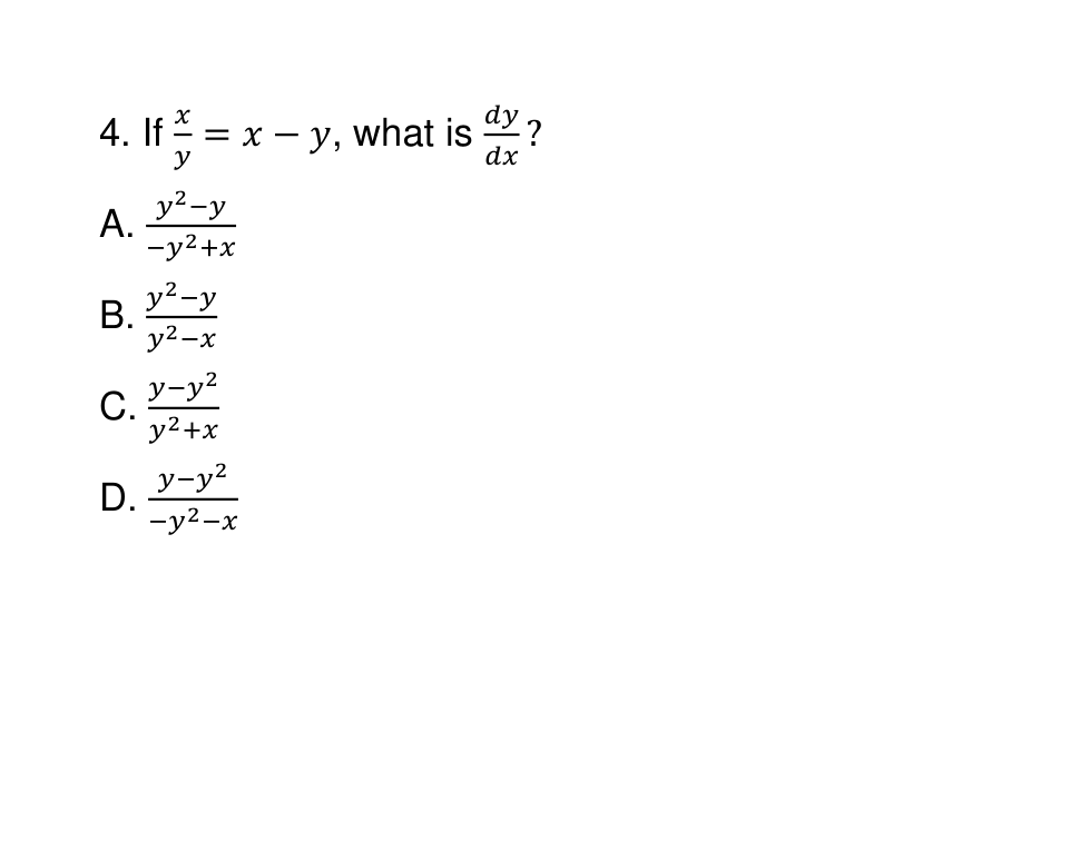
Question 4
4.
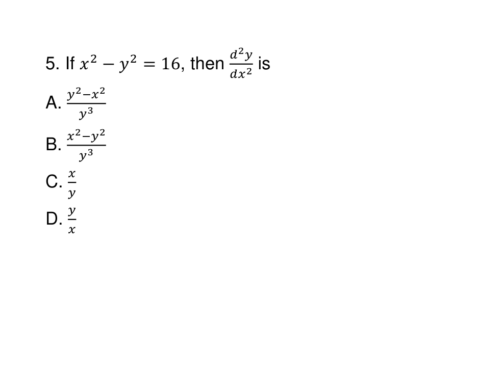
Question 5
5.
Question 6
6.
Question 7
7.
Question 8
8.
Question 9
9.
A
B
C
D
A
B
C
D
A
B
C
D
A
B
C
D
A
B
C
D
A
B
C
D
A
B
C
D
A
B
C
D
A
B
C
D