Log in
Sign up for FREE
arrow_back
Library

Unit 4 Review

star
star
star
star
star
Last updated almost 2 years ago
25 questions
1
1
1
1
1
1
1
1
1
1
Question 9
9.

Graph 2 full periods for the function. Label the horizontal and vertical scales. List the amplitude, period, frequency , phase shift, and vertical shift, if applicable. Graph the midline for any vertical shift and the asymptotes for one period as dashed lines.

  • Click a Graph tab (Graph 1, Graph 2, and so on) for each graph you need to plot.
  • Click on the graph background to add a point. Drag a point or type in x and y coordinates to edit its position. Click on a point to delete it.
Question 10
10.

Graph 2 full periods for the function. Label the horizontal and vertical scales. List the amplitude, period, frequency , phase shift, and vertical shift, if applicable. Graph the midline for any vertical shift and the asymptotes for one period as dashed lines.

  • Click a Graph tab (Graph 1, Graph 2, and so on) for each graph you need to plot.
  • Click on the graph background to add a point. Drag a point or type in x and y coordinates to edit its position. Click on a point to delete it.
1
1
1
1
1
1
1
1
1
1
1
Question 21
21.

Solve the for x on the given interval. Give exact answers in radian measure.

1
Question 22
22.

1
1
1
Question 1
1.

What is the length of the pendulum arm to the nearest tenth of an inch?

Question 2
2.

Find the sine of theta as an exact value only.

Question 3
3.

State the amplitude of the given sine function.

Question 4
4.

Describe the vertical shift of the given sine function.

Question 5
5.

State the period of the given sine function.

Question 6
6.

Describe the frequency of the given sine function.

Question 7
7.

Describe the phase shift of the given sine function.

Question 8
8.

The point (-2, -3) is on the terminal side of theta in standard position. Find the cosecant of theta as an exact value only.

Question 11
11.

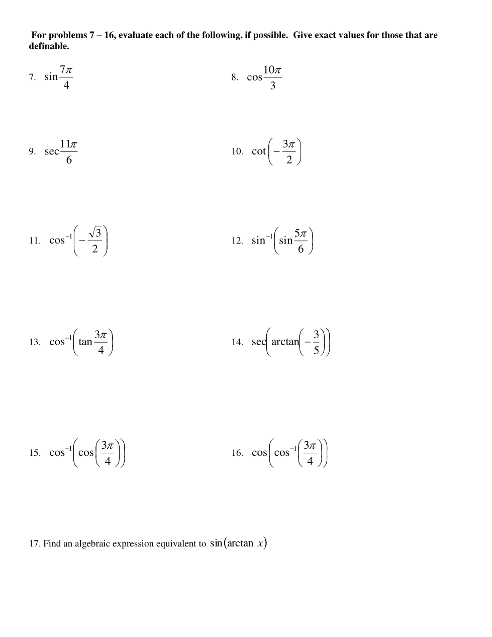
Give the exact value, if it is definable. Rationalize any denominator with a square root.

Question 12
12.

Give the exact value, if it is definable. Rationalize any denominator with a square root.

Question 13
13.

Give the exact value, if it is definable. Rationalize any denominator with a square root.

Question 14
14.

Give the exact value, if it is definable. Rationalize any denominator with a square root.

Question 15
15.

Give the exact value, if it is definable. Report your answer in radians.

Question 16
16.

Give the exact value, if it is definable. Report your answer in radians.

Question 17
17.

Give the exact value, if it is definable. Report your answer in radians.

Question 18
18.

Give the exact value, if it is definable. Rationalize any denominator with a square root.

Question 19
19.

Give the exact value, if it is definable. Report your answer in radians.

Question 20
20.

Give the exact value, if it is definable. Report your answer in radians.

Solve the for x on the given interval. Give exact answers in radian measure.

Question 23
23.

From the top of a 150-foot building, you observe a car moving toward you. If the angle of depression of the car changes from 18 degrees to 42 degrees during the observation, how far does the car travel? Round your final answer to the nearest foot.

Question 24
24.

A ramp leading up to a freeway overpass is 470 feet long and rises to a height of 32 feet. What is the average angle of inclination to the nearest tenth of a degree?

Question 25
25.

A tree casts a shadow 51 feet long when the angle of elevation of the sun (measured with the horizon) is 25 degrees. How tall is the tree to the nearest tenth of a foot?