Assignment - Solving Systems by Substitution
star
star
star
star
star
Last updated almost 5 years ago
6 questions
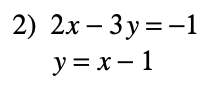
1
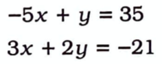
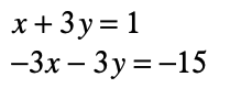
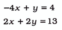
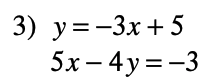
Solving a System of Equations Using Substitution1. Get either the x or y variable by itself.2. Use substitution to replace the variable with the new equation.3. Solve the equation.4. Substitute in the value for the variable into one of the original equations to solve for for the second variable.5. Write your final answer as an ordered pair. (x, y)
Solving a System of Equations Using Substitution
1. Get either the x or y variable by itself.
2. Use substitution to replace the variable with the new equation.
3. Solve the equation.
4. Substitute in the value for the variable into one of the original equations to solve for for the second variable.
5. Write your final answer as an ordered pair. (x, y)
1
Solving a System of Equations Using Substitution1. Get either the x or y variable by itself.2. Use substitution to replace the variable with the new equation.3. Solve the equation.4. Substitute in the value for the variable into one of the original equations to solve for for the second variable.5. Write your final answer as an ordered pair. (x, y)
Solving a System of Equations Using Substitution
1. Get either the x or y variable by itself.
2. Use substitution to replace the variable with the new equation.
3. Solve the equation.
4. Substitute in the value for the variable into one of the original equations to solve for for the second variable.
5. Write your final answer as an ordered pair. (x, y)
1
Solving a System of Equations Using Substitution1. Get either the x or y variable by itself.2. Use substitution to replace the variable with the new equation.3. Solve the equation.4. Substitute in the value for the variable into one of the original equations to solve for for the second variable.5. Write your final answer as an ordered pair. (x, y)
Solving a System of Equations Using Substitution
1. Get either the x or y variable by itself.
2. Use substitution to replace the variable with the new equation.
3. Solve the equation.
4. Substitute in the value for the variable into one of the original equations to solve for for the second variable.
5. Write your final answer as an ordered pair. (x, y)
1
Solving a System of Equations Using Substitution1. Get either the x or y variable by itself.2. Use substitution to replace the variable with the new equation.3. Solve the equation.4. Substitute in the value for the variable into one of the original equations to solve for for the second variable.5. Write your final answer as an ordered pair. (x, y)
Solving a System of Equations Using Substitution
1. Get either the x or y variable by itself.
2. Use substitution to replace the variable with the new equation.
3. Solve the equation.
4. Substitute in the value for the variable into one of the original equations to solve for for the second variable.
5. Write your final answer as an ordered pair. (x, y)
1
Solving a System of Equations Using Substitution1. Get either the x or y variable by itself.2. Use substitution to replace the variable with the new equation.3. Solve the equation.4. Substitute in the value for the variable into one of the original equations to solve for for the second variable.5. Write your final answer as an ordered pair. (x, y)
Solving a System of Equations Using Substitution
1. Get either the x or y variable by itself.
2. Use substitution to replace the variable with the new equation.
3. Solve the equation.
4. Substitute in the value for the variable into one of the original equations to solve for for the second variable.
5. Write your final answer as an ordered pair. (x, y)
1
Solving a System of Equations Using Substitution1. Get either the x or y variable by itself.2. Use substitution to replace the variable with the new equation.3. Solve the equation.4. Substitute in the value for the variable into one of the original equations to solve for for the second variable.5. Write your final answer as an ordered pair. (x, y)
Solving a System of Equations Using Substitution
1. Get either the x or y variable by itself.
2. Use substitution to replace the variable with the new equation.
3. Solve the equation.
4. Substitute in the value for the variable into one of the original equations to solve for for the second variable.
5. Write your final answer as an ordered pair. (x, y)