Log in
Sign up for FREE
arrow_back
Library

Module 12 Review

star
star
star
star
star
Last updated almost 3 years ago
28 questions
1
1
1
1
1
1
1
1
1
1
1
1
1
1
1
1
1
1
1
1
1
1
1
1
1
1
1
1

Use this information for #1-5.

You visit Zion National Park and drop a penny into the canyon. The distance the penny will fall is 20 feet the first second, 32 feet the next second, 44 feet the third second, and so on in a sequence.

Question 1
1.

Is the sequence arithmetic or geometric?

Question 2
2.

What is the common difference?

Question 3
3.

Write the explicit rule for the penny sequence.

Question 4
4.

Write the recursive rule for the penny sequence.

Question 5
5.

What is the distance that the penny will fall in JUST the 6th second?

Question 6
6.

The zombies are back! 30 zombies dug themselves out of the ground and each one "turns" 7 new people into a zombie. Each new zombie also "turns" 7 new people per day.


How many zombies will there be on the 11th day? (just the 11th day, not total)
Hint: it's a really big number

Question 7
7.

The zombies are back! 30 zombies dug themselves out of the ground and each one "turns" 7 new people into a zombie. Each new zombie also "turns" 7 new people per day.


How many TOTAL zombies will there be after 11 days?

Question 8
8.


Question 9
9.

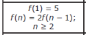
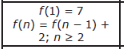
Given the recursive rule, write the first 4 terms of the sequence.

Question 10
10.

Question 11
11.

Question 12
12.

Question 13
13.

Remember to type in the calculator, click ALPHA -> Y= -> ENTER.

Question 14
14.

Question 15
15.

Write an explicit rule.

Question 16
16.

Write a recursive rule.

Question 17
17.

Question 18
18.

Find the sum of the geometric series.

Question 19
19.

Find the number of terms in the geometric series.

Question 20
20.

Write an explicit rule for the sequence.

Question 21
21.

How many dots will there be at 20 minutes? (not total, just at 20 minutes)

Question 22
22.

Question 23
23.

Use t as your variable and start with g(t)=

Question 24
24.

Question 25
25.

Given a term in a sequence, and the common difference, find the first term.

Question 26
26.

Given a term in a sequence, and the common ratio, find the first term.

Question 27
27.

Write the first 4 terms of the sequence.

Question 28
28.

Find the missing value in the table.

A
B
C
D
Match each recursive formula with its equivalent explicit formula.