Unit 6 Preview (After Unit 5 Test)
star
star
star
star
star
Last updated over 3 years ago
16 questions
1
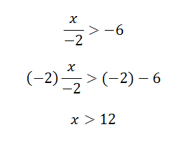
Look at the work shown. Determine whether the problem was solved correctly.
Look at the work shown. Determine whether the problem was solved correctly.
1
If not correct, what was the mistake? If correct, just type "correct".
If not correct, what was the mistake? If correct, just type "correct".
1
Look at the work shown. Determine whether the problem was solved correctly.
Look at the work shown. Determine whether the problem was solved correctly.
1
If not correct, what was the mistake? If correct, just type "correct".
If not correct, what was the mistake? If correct, just type "correct".
1
Look at the work shown. Determine whether the problem was solved correctly.
Look at the work shown. Determine whether the problem was solved correctly.
1
If not correct, what was the mistake? If correct, just type "correct".
If not correct, what was the mistake? If correct, just type "correct".
1
Look at the work shown. Determine whether the problem was solved correctly.
Look at the work shown. Determine whether the problem was solved correctly.
1
If not correct, what was the mistake? If correct, just type "correct".
If not correct, what was the mistake? If correct, just type "correct".
1
Solve the inequality: Graph your solution. Make sure to label three numbers on the line (your solution goes in the middle!)
Solve the inequality:
Graph your solution. Make sure to label three numbers on the line (your solution goes in the middle!)
1
Solve the inequality: Graph your solution. Make sure to label three numbers on the line (your solution goes in the middle!)
Solve the inequality:
Graph your solution. Make sure to label three numbers on the line (your solution goes in the middle!)
1
Solve the inequality: Graph your solution. Make sure to label three numbers on the line (your solution goes in the middle!)
Solve the inequality:
Graph your solution. Make sure to label three numbers on the line (your solution goes in the middle!)
1
Solve the inequality: Graph your solution. Make sure to label three numbers on the line (your solution goes in the middle!)
Solve the inequality:
Graph your solution. Make sure to label three numbers on the line (your solution goes in the middle!)
1
Solve the inequality: Graph your solution. Make sure to label three numbers on the line (your solution goes in the middle!)
Solve the inequality:
Graph your solution. Make sure to label three numbers on the line (your solution goes in the middle!)
1
Solve the inequality: Graph your solution. Make sure to label three numbers on the line (your solution goes in the middle!)
Solve the inequality:
Graph your solution. Make sure to label three numbers on the line (your solution goes in the middle!)
1
Solve the inequality: Graph your solution. Make sure to label three numbers on the line (your solution goes in the middle!)
Solve the inequality:
Graph your solution. Make sure to label three numbers on the line (your solution goes in the middle!)
1
Solve the inequality: Graph your solution. Make sure to label three numbers on the line (your solution goes in the middle!)
Solve the inequality:
Graph your solution. Make sure to label three numbers on the line (your solution goes in the middle!)