Log in
Sign up for FREE
arrow_back
Library

7.2.2 Review & Preview

star
star
star
star
star
Last updated about 7 hours ago
18 questions
1
1
1
1
1
1
1
1
1
1
1
1
1
1
1
1
1
1
Point M is the midpoint of AB and B is the midpoint of AC. Homework Help
Question 1
1.

Find the value of x in the diagram above. Show all work.

Question 2
2.

FInd the value of y in the diagram above. Show all work.

Read the following Math Notes Box. Homework Help


The cost of large flat-screen televisions is decreasing 20% per year.
Question 3
3.

What is the multiplier?

Question 4
4.

If a 50-inch flat-screen now costs $1200, what will it cost in three years?

Question 5
5.

At the same rate, what did it cost two years ago?

A light directed from point E is pointed at a hinged mirror with right angle as shown below. Homework Help

If ∠x measures 36°, find the measures of the following angles....
Question 6
6.

∠a =? (Fill in the picture with the following angles to show your work.)

Question 7
7.

∠r =?

Question 8
8.

∠m =?

Question 9
9.

∠y =?

Question 10
10.

∠z =?

Question 11
11.

Why must the arrows at points A and E be parallel?

On graph paper, graph quadrilateral MNPQ if M(−3,6), N(2,8), P(1,5), and Q(−4,3).
Question 12
12.

What shape is MNPQ? Show how you know in the work section. Homework Help

Question 13
13.

Use the function x→x, y→−y to reflect MNPQ across the x-axis and create M′N′P′Q′. What are the coordinates of P′? (Can use the work space above if needed.)

Question 14
14.

Jester started to prove that the triangles at right are congruent. He was only told that point E is the midpoint of segments AC and BD. Homework Help

For a school fair, Donny is going to design a spinner with red, white, and blue regions. Since he has a certain proportion of three types of prizes, he wants the P(red)=40% and P(white)=10%. Homework Help
Question 15
15.

If the spinner only has red, white, and blue regions, then what is P(blue)? Explain how you know in the work space.

Question 16
16.

Find the central angles of this spinner if it has only three sections. Then draw a sketch of the spinner. Be sure to label the regions accurately.

Question 17
17.

Is there a different spinner that has the same probabilities? If so, sketch another spinner that has the same probabilities. If not, explain why there is no other spinner with the same probabilities.

Question 18
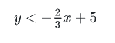
18.

On the graph below, graph and shade the solutions for the inequality. Homework Help