Log in
Sign up for FREE
arrow_back
Library

Chapter 6 Test: VRT2

star
star
star
star
star
Last updated about 5 years ago
14 questions
2
3
1
1
2
1
1
1
1
2
1
1
1
4
Question 1
1.

Solve for y. Show all work for credit.

Question 2
2.

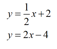
Solve the system of equations by graphing. 1PT CORRECT LINE, 1 PT CORRECT LINE, 1 PT CORRECT SOLUTION.



Question 3
3.

What kind of sequence is:

Question 4
4.

What is the next term in the sequence:

Question 5
5.

Solve the systems of equations.

Negative five x plus four y equals negative twenty-two
Y equals negative three x minus fourteen

Box your answer.

Question 6
6.

The graph shows the cost of installing a vinyl privacy fence. The company A charges a flat installation fee plus a cost per linear foot of fencing. Company B charges installation fee plus a cost per linear foot of fencing, but the more you purchase the bigger the discount.

Question 7
7.

What does the solution represent in the context of this situation?


Question 8
8.

Question 9
9.

Question 10
10.

Solve this system of equations:

Negative seven x plus y equals negative twenty-two
Negative four x minus two y equals negative ten

Box your answer.

Question 11
11.

Graph the equation

For the next section. Answer the questions based on the information below. For equations DO NOT USE SPACES.
WHAT IS THE COST?!
Abhasra's school is selling tickets to a play. On the first day of ticket sales the school sold 1 adult
ticket and 6 student tickets for a total of $71. Let a equal the adult ticket and s equal the student ticket.
Question 12
12.

Write an equation in a and s for the first day of ticket sales.

Question 13
13.

The school took in $80 on the second day by selling 5 adult tickets and 5 student tickets.

Question 14
14.

Use the equations you wrote in the previous problems to find the price of an adult ticket and the price of a student ticket.

Edith is using substitution to solve the system of equations below. What should the first step be? Choose the correct first step from the choices below.
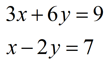
A variable needs to be eliminated to solve the system of equations below. Choose the correct first step(to eliminate the y variable).



Multiply the first equation by 2.
Multiply the first equation by 3.
Multiply the second equation by 2.
Multiply the second equation by 3.