Trade Discounts Quiz
star
star
star
star
star
Last updated almost 5 years ago
8 questions

2
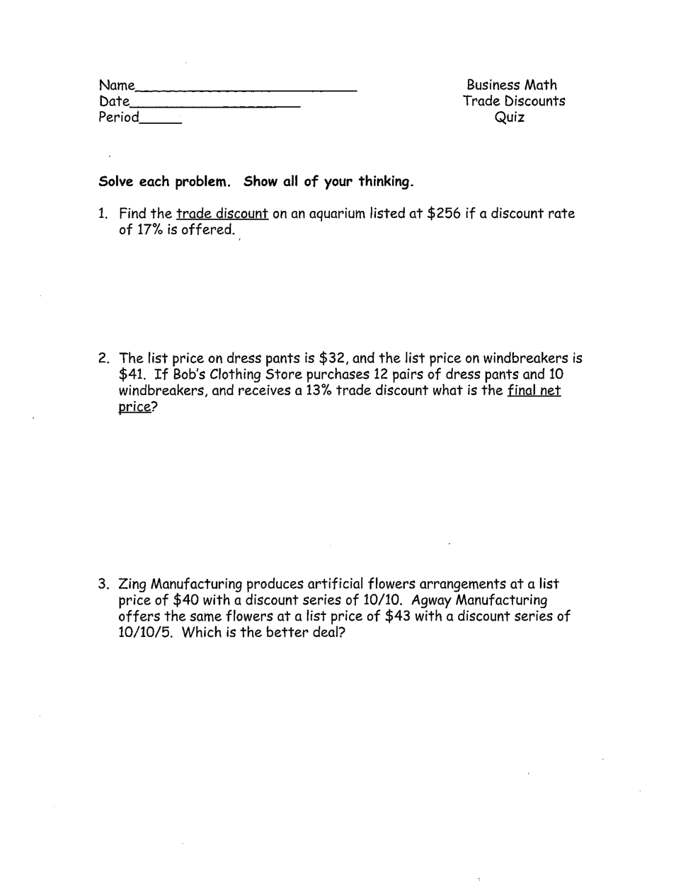
Find the trade discount on an aquarium listed at $256, if a discount rate of 17% is offered.
Find the trade discount on an aquarium listed at $256, if a discount rate of 17% is offered.
4
The list price on dress pants is $32, and the list price on windbreakers is $41. If Bob's Clothing Store purchases 12 pairs of dress pants and 10 windbreakers, and receives a 13% discount, what is the final net price?
The list price on dress pants is $32, and the list price on windbreakers is $41. If Bob's Clothing Store purchases 12 pairs of dress pants and 10 windbreakers, and receives a 13% discount, what is the final net price?
6
Zing Manufacturing produces artificial flower arrangements at a list price of $40 with a discount series of 15/10. Agway Manufacturing offers the same flowers at a list price of $43, with a discount series of 10/8/5. Which manufacturer offers the better deal? Show all work for full credit.
Zing Manufacturing produces artificial flower arrangements at a list price of $40 with a discount series of 15/10. Agway Manufacturing offers the same flowers at a list price of $43, with a discount series of 10/8/5. Which manufacturer offers the better deal? Show all work for full credit.

6
A trade discount series of 7/5/3 is offered on a sewing machine, which is listed at $375. Also, a trade discount series of 5/3/7 is offered on a desk cair listed at $275. Find the total net price for the sewing machine and the chair. Show all your work for full credit
A trade discount series of 7/5/3 is offered on a sewing machine, which is listed at $375. Also, a trade discount series of 5/3/7 is offered on a desk cair listed at $275. Find the total net price for the sewing machine and the chair. Show all your work for full credit
2
The list price of a washing machine is $560 and the single trade discount is 26%. Find the trade discount.
The list price of a washing machine is $560 and the single trade discount is 26%. Find the trade discount.
2
The list price of a washing machine is $560 and the single trade discount is 26%. Find the net price.
The list price of a washing machine is $560 and the single trade discount is 26%. Find the net price.
2
A trade discount series of 12/7 is offered on phone jacks listed at $9. Find the trade discount.
A trade discount series of 12/7 is offered on phone jacks listed at $9. Find the trade discount.
2
A trade discount series of 12/7 is offered on phone jacks listed at $9. Find the net price.
A trade discount series of 12/7 is offered on phone jacks listed at $9. Find the net price.