Log in
Sign up for FREE
arrow_back
Library
Lesson 8.2 Homework cloned 3/8/2021
By Zac Coughlin
star
star
star
star
star
Share
share
Last updated almost 5 years ago
7 questions
Add this activity
1
1
1
1
1
1
1
Question 1
1.
Simplify the expressions. Write your answer using exponents.
visibility
View drawing
Question 2
2.
visibility
View drawing
Question 3
3.
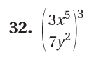
Simplify the expression.
visibility
View drawing
Question 4
4.
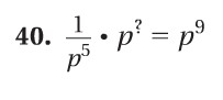
Find the missing exponent.
Question 5
5.
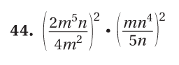
Simplify the expression.
visibility
View drawing
Question 6
6.
visibility
View drawing
Question 7
7.
visibility
View drawing