Log in
Sign up for FREE
arrow_back
Library

DHS Unit 6A CONSTRUCTED RESPONSE

star
star
star
star
star
Last updated almost 5 years ago
12 questions
4
6
4
2
2
3
6
3
3
3
3
7
Question 1
1.

Given the following function, complete the table of values AND graph.

Question 2
2.

Question 3
3.

For the following function, complete the needed information.

Question 4
4.

Solve the following equation.

Question 5
5.

Solve the following equation.

Question 6
6.


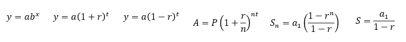
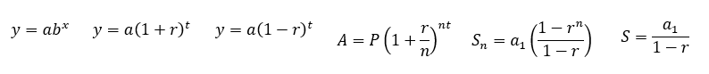
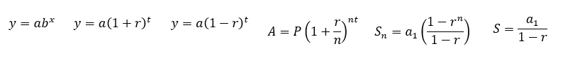
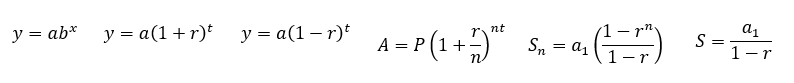
Write the equation you would use (selected from the list above), FILLED IN with the appropriate values from the scenario AND then TYPE your answer. Make sure to use correct units and rounding. If you only type an answer, you will NOT receive full credit even for a correct answer!

Evaluate the sum of the following geometric series for the indicated number of terms.

Question 7
7.

Question 8
8.


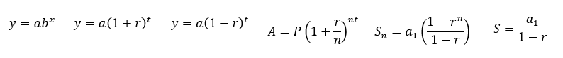
Write the equation you would use (selected from the list above), FILLED IN with the appropriate values from the scenario AND then TYPE your answer. Make sure to use correct units and rounding. If you only type an answer, you will NOT receive full credit even for a correct answer!

You receive $550 as a graduation gift. You invest the money in an account that earns 3.1% compounded quarterly. How much money will you have in 10 years?

Question 9
9.


Write the equation you would use (selected from the list above), FILLED IN with the appropriate values from the scenario AND then TYPE your answer. Make sure to use correct units and rounding. If you only type an answer, you will NOT receive full credit even for a correct answer!

When you are born, your parents decide they want to be able to give you $10,000 at the time you turn 18. How much will they need to invest in the bank at 4% interest compounded semiannually to be able to do this on your 18th birthday?

Question 10
10.


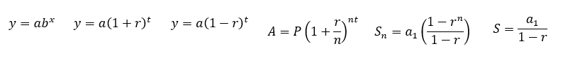
Write the equation you would use (selected from the list above), FILLED IN with the appropriate values from the scenario AND then TYPE your answer. Make sure to use correct units and rounding. If you only type an answer, you will NOT receive full credit even for a correct answer!

A factory purchases equipment for $85,000, which depreciates at a rate of 8% a year. How much is the equipment worth in 5 years?

Question 11
11.


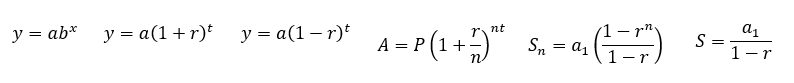
Write the equation you would use (selected from the list above), FILLED IN with the appropriate values from the scenario AND then TYPE your answer. Make sure to use correct units and rounding. If you only type an answer, you will NOT receive full credit even for a correct answer!

A population of insects doubles every month. The population started out with 15 insects. How many insects will there be after 21 months?

Question 12
12.

Given the following function, select ALL transformations.

vertical shift down 1 units
reflection over the y-axis
vertical stretch BAFO 1/2
horizontal stretch BAFO 2
vertical shift up 1 units
exponential decay model
horizontal compression BAFO 2
reflection over the x-axis
exponential growth model
horizontal shift right 2 units
horizontal shift left 2 units
vertical compression BAFO 1/2

Determine which characteristics of the given infinite series are true.
The sum of the series is 4.25
The series does not have a sum
The sum of the series is 17
Diverging
Converging

Write the equation you would use (selected from the list above), FILLED IN with the appropriate values from the scenario AND then TYPE your answer. Make sure to use correct units and rounding. If you only type an answer, you will NOT receive full credit even for a correct answer!

You deposit $1,600 in a bank account at two different banks. Find the balance after 3 years for each of the following situations.

a. The account at Bank of Denmark pays 2.5% annual interest compounded quarterly.
b. The account at Denmark National pays 2% annual interest compounded monthly.

Select the option(s) below that is/are true about this situation:
The account at Bank of Denmark will yield more money in 3 years than the account at Denmark National.