HW Intro to Logs
star
star
star
star
star
Last updated over 2 years ago
23 questions
1
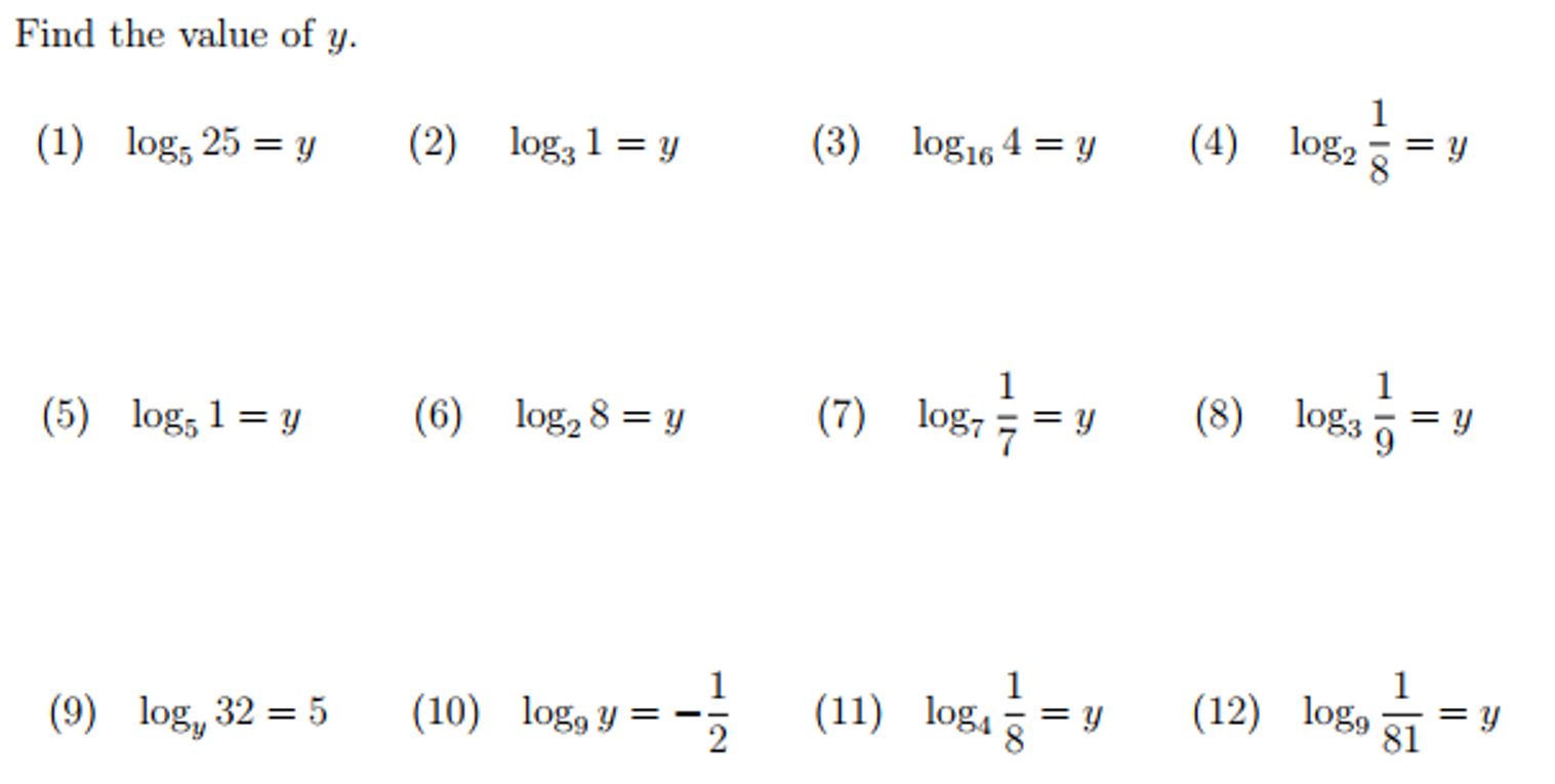
Type your answers for #1-4 in this form:log_bA=x
Type your answers for #1-4 in this form:
log_bA=x
1
1
1
1
Type your answers for #5-8 in this form:b^x=A
Type your answers for #5-8 in this form:
b^x=A
1
1
1
1
For #9-20, just type the number. Don't type y=
For #9-20, just type the number. Don't type y=
1
1
1
1
1
1
1
1
1
1
HINTRewrite in exponential form: 4^y=1/8Then rewrite both sides to have a base of 2:2^2y=2^-3so now you can set the exponents equal to each other & solve for y.
HINT
Rewrite in exponential form:
4^y=1/8
Then rewrite both sides to have a base of 2:
2^2y=2^-3
so now you can set the exponents equal to each other & solve for y.
1
1
Evaluate in your calculator and round to the nearest hundredth.
Evaluate in your calculator and round to the nearest hundredth.
1
Evaluate in your calculator and round to the nearest hundredth.
Evaluate in your calculator and round to the nearest hundredth.
1
Try this one without your calculator.
Try this one without your calculator.

