Log in
Sign up for FREE
arrow_back
Library

4/6 Solving Quadratic Equations by Graphing

star
star
star
star
star
Last updated almost 5 years ago
17 questions
1
1
1
1
1
1
1
1
1
1
1
1
1
1
1
1
1

Solving Quadratic Equations by Graphing

In the previous unit we graphed quadratic equations, this unit will focus on several ways in which we can solve quadratic equations. The first method we will use is graphing.

What You Will Learn:
*Solve quadratic equations by graphing.
*Use graphs to fi nd and approximate the zeros of functions.

Number of Solutions of a Quadratic Equation

A quadratic equation has:
• no real solutions when the graph of its related function has no x-intercepts
• one real solution when the graph of its related function has one x-intercept.
• two real solutions when the graph of its related function has two x-intercepts.

Solving Quadratic Equations by Graphing

  • Step 1 Write the equation in standard form, ax2 + bx + c = 0.
  • Step 2 Graph the related function y = ax2 + bx + c.
  • Step 3 Find the x-intercepts, if any. The solutions, or roots, of ax2 + bx + c = 0 are the x-intercepts of the graph.
Question 1
1.


The solution(s) are : (answer format: x = _____ and x = _____)

Question 2
2.


The solution is: (answer format: x = _____ )

Question 3
3.

Finding Zeros of Functions

Recall that a zero of a function is an x-intercept of the graph of the function.
Question 4
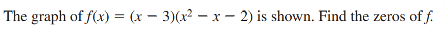
4.



The zeros of f are

Solve the equation by graphing.

Question 5
5.

Question 6
6.

Question 7
7.

Question 8
8.

Question 9
9.

Question 10
10.

Question 11
11.

Question 12
12.

Question 13
13.

In Exercises 14–17, find the zero(s) of f.

Question 14
14.

Question 15
15.

The zeros are

Question 16
16.

The zeros are

Question 17
17.

The zeros are