Log in
Sign up for FREE
arrow_back
Library
AFL 1_Rational Numbers
By Mittal Mahant
star
star
star
star
star
Share
share
Last updated almost 5 years ago
8 questions
Add this activity
1
1
1
1
1
1
1
1
Question 1
1.
Question 2
2.
Question 3
3.
Question 4
4.
Question 5
5.
Question 6
6.
Question 7
7.
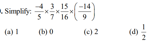
Question 8
8.
(A X B) X C = A ( B X C) is an example of which property?
A Distributive Property
B Identity Propoerty
C Associative Property
D Communative Property
There exist 10 rational numbers between 1 and 10
True
False
The multiplicative inverse of
rational numbers
The additive inverse of 7/5 is
1
0
- 7/5
5/7
The reciprocal of -5 is
5
1
- 1/5
1/5
The product of two rational numbers is always a
whole numbers
integers
natural numbers
rational numbers
a
b
c
d
a
b
c
d