Log in
Sign up for FREE
arrow_back
Library

Chemical Equilibrium #4

star
star
star
star
star
Last updated about 1 year ago
8 questions
1
1
1
1
1
1
1
1
Question 1
1.

What is the equilibrium constant Kc expression for the following balanced equation?

Question 2
2.

What is the equilibrium constant Kc expression for the following balanced equation?

Question 3
3.

What is the equilibrium constant Kc expression for the following balanced equation?

Question 4
4.

What does the value of the Kc indicate about the position of the equilibrium?

Draggable itemarrow_right_altCorresponding Item
Kc < 1
arrow_right_alt
Equilibrium lies to right
Kc > 1
arrow_right_alt
Equilibrium lies to left
Question 5
5.

An equilibrium constant value for a reaction varies with

Question 6
6.

The equilibrium constant for the formation of hydrogen iodide from hydrogen and iodine is 45 at a certain temperature.

Question 7
7.

For the chemical equilibrium below (X + 2Y -> 2Z), Kc = 10. What is the Kc value for the reaction written in reverse?

Question 8
8.

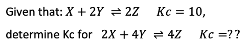
SUPER DOUPER EXTENSION QUESTION
For the chemical equilibrium X + 2Y -> 2Z, the value of the equilibrium constant is 10. What is the value of the equilibrium constant for the following reaction?

concentration of products
concentration of reactants
II and III
None are true as the [R] = [P]
I and IV
0,20
40
100
400