Chapter 9 Check My Progress 6-7
star
star
star
star
star
Last updated over 4 years ago
10 questions
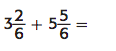
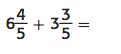
Find each sum.

1 point
1
Question 1
1.

1 point
1
Question 2
2.

1 point
1
Question 3
3.

1 point
1
Question 4
4.
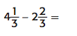
Find the difference.

1 point
1
Question 5
5.

1 point
1
Question 6
6.

1 point
1
Question 7
7.

1 point
1
Question 8
8.
Damien, Liam, and Jessica helped put away the kick balls after recess. Damien put away 1/8 of the balls. Jessica put away 3/8 of the balls. One fourth of the balls were not put away. What fraction of the balls did Liam put away?
1 point
1
Question 9
9.
There are 12 stuffed animals in a store window. Half of the stuffed animals are bears. Four are kittens. The rest are monkeys. How many stuffed animals are monkeys?
1 point
1
Question 10
10.