Log in
Sign up for FREE
arrow_back
Library
Quadratic Formula Intro. Quiz (2)
By Curtis Kearney
star
star
star
star
star
Share
share
Last updated over 4 years ago
10 questions
Add this activity
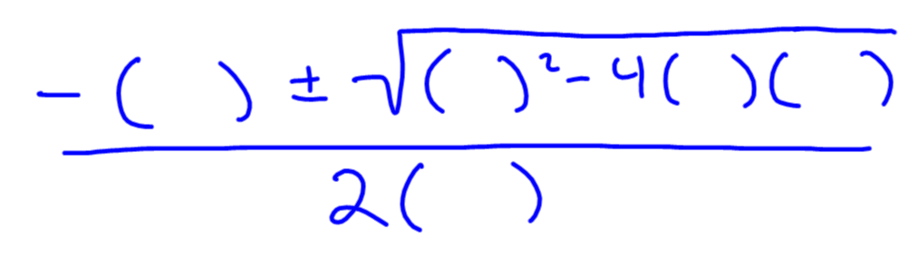
Use the letters "a, b, and c" to fill in the quadratic formula.
Use the following equation to answer the following questions:
0.5
0.5
0.5
4
2
1
2
3
4
5
zoom_in
0.5
0.5
0.5
0.5
0.5
Question 6
6.
What is the "a" value?
8
10
3
0
None of these
Question 7
7.
What is the "b" value?
8
10
3
0
None of These
Question 8
8.
What is the "c" value?
8
10
3
0
None of These
Question 9
9.
What are the solutions(x-intercepts/roots/zeros)
Show your work by factoring and using the quadratic formula. (If there are no solutions, write, "no solution")
visibility
View drawing
Question 10
10.
If a quadratic equation has no solutions, what would this look like on a graph?
Question 1
1.
Choose the correct letter
A
B
C
Question 2
2.
Choose the correct letter
A
B
C
Question 3
3.
Choose the correct letter
A
B
C
Question 4
4.
Choose the correct letter
A
B
C
Question 5
5.
Choose the correct letter
A
B
C