PC Vectors Concept Check Part 1
star
star
star
star
star
Last updated over 4 years ago
1 question
14
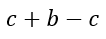
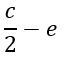
For the following, you will match each "path" with the correct VECTOR. Use the graphic above to help you find the correct pairs.
For the following, you will match each "path" with the correct VECTOR. Use the graphic above to help you find the correct pairs.
| Draggable item | arrow_right_alt | Corresponding Item |
|---|---|---|
| arrow_right_alt | ||
| arrow_right_alt | ||
| arrow_right_alt | ||
| arrow_right_alt | ||
| arrow_right_alt | ||
| arrow_right_alt | ||
| arrow_right_alt | ||
| arrow_right_alt | ||
| arrow_right_alt | ||
| arrow_right_alt | ||
| arrow_right_alt | ||
| arrow_right_alt | ||
| arrow_right_alt | ||
| arrow_right_alt |