Log in
Sign up for FREE
arrow_back
Library

Gr. 7 - U6 FINAL EXAM

star
star
star
star
star
Last updated almost 5 years ago
40 questions
1
1
1
1
1
1
1
1
1
1
1
1
1
1
1
1
1
1
1
1
1
1
1
1
1
1
1
1
1
1
1
1
1
1
1
1
1
1
1
1
Question 39
39.

Solve this equation: −7 = x − 2

Question 40
40.

Question 1
1.

Solve this equation: 2x − 5 = 7

Question 2
2.

Solve this equation: 5x = 40

Question 3
3.

Janet bought 18 DVDs for $252. Write an equation you could use to find the cost of each DVD.

Question 4
4.

What is the number that makes this sentence true?
Fourteen more than 6 times a number is 38.

Question 5
5.

Solve this equation: 6x + 14 = 26

Question 6
6.

Solve this equation: x − 2 = 10

Question 7
7.

Write an equation for this sentence. Then solve the equation.
Five more than a number is 15.

Question 8
8.

Write an equation for this sentence. Then solve the equation.
A number multiplied by 4 is 12.

Question 9
9.

Solve this equation: 6x - 2 = 22

Question 10
10.

Question 11
11.

A white square represents +1, a black square represents −1, and a rectangle represents the variable x.

Write an expression modelled by this picture.

Question 12
12.

Write an equation to find this number: 9 more than double the number is 15.
Solve the equation.

Question 13
13.

Solve this equation: 3 + x = 9

Question 14
14.

Solve this equation: c/11 =5

Question 15
15.

Which are equations?

Question 16
16.

Solve this equation: v + v + 7 = 6 + 4

Question 17
17.

Write an equation for this sentence. Then solve the equation.

Seven more than a number is 14.

Question 18
18.

A white square represents +1, a black square represents −1, and a rectangle represents the variable x.

Write an expression modelled by this picture.

Question 19
19.

Which are expressions?

Question 20
20.

Solve this equation: h + 4 = 13

Question 21
21.

A number increased by 4 is 9. Write an equation to find the number. Solve the equation.

Question 22
22.

Find the value of x that makes this equation true.
2x + 6 = 14

Question 23
23.

Solve this equation: −48 = x + 45

Question 24
24.

Question 25
25.

Alan has $90 and he spends $12 each week. Write an equation you could use to find the money Alan has after
3 weeks.

Question 26
26.

Five less than a number is 11. Write an equation to find the number. Solve the equation.

Question 27
27.

Shaun saved $12.00 from his paycheck. This was half the amount of money he had earned.
How much money did Shaun earn?

Question 28
28.

Solve this equation: 8x = 16

Question 29
29.

Write an equation to find this number: the number reduced by 6 is equal to 8.
Solve the equation.

Question 30
30.

Solve this equation: 5 + 11 = y + 8

Question 31
31.

The 2 pans of the scales are balanced. Find the value of the unknown mass B.

Question 32
32.

Overnight, the temperature dropped 9°C to −3°C. Write an equation to find the starting temperature. Solve the
equation.

Question 33
33.

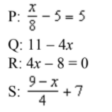
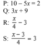
Solve this equation:

Question 34
34.

Martin had $35. He spent an average of $12 each week. Write an equation you can use to find the amount, C,
Martin would have after n weeks.

Question 35
35.

Write an equation to find this number: 8 more than 3 times the number is 17.
Solve the equation.

Question 36
36.

Each term of a number pattern is represented by 6n + 3, where n represents the term number.
What is the term number for a term value of 69?

Question 37
37.

Caitlin worked in a clothing store last weekend for $6/h. She was also paid a bonus of $7. She earned a total of $55. Write an equation you can use to find how many hours she worked. Solve the equation.

Question 38
38.

Solve this equation: 15 = t + 12

D
D 2x + 9
D 7x = 14, x = 2
D x + 2
D
D x + 9 = 3, x = −6
D