Acc Algebra 1 Spring Final 2021
star
star
star
star
star
Last updated over 4 years ago
23 questions

1
Determine if the solution is viable or non-viable
Determine if the solution is viable or non-viable
1
Use the graph to solve the system of linear equations. Select the correct ordered pair solution.
Use the graph to solve the system of linear equations. Select the correct ordered pair solution.

1
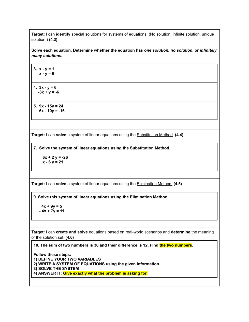
Determine whether this system of equations has one solution, no solution, or infinitely many solutions.x - y = 1x - y = -6
Determine whether this system of equations has one solution, no solution, or infinitely many solutions.
x - y = 1
x - y = -6
1
Determine whether this system of equations has one solution, no solution, or infinitely many solutions.3x - y = 6-3x + y = -6
Determine whether this system of equations has one solution, no solution, or infinitely many solutions.
3x - y = 6
-3x + y = -6
1
Determine whether this system of equations has one solution, no solution, or infinitely many solutions.9x - 15y = 246x - 10y = -16
Determine whether this system of equations has one solution, no solution, or infinitely many solutions.
9x - 15y = 24
6x - 10y = -16
1
Solve the system of linear equations using substitution6x + 2y = -26x - 6y = 21
Solve the system of linear equations using substitution
6x + 2y = -26
x - 6y = 21
1
Solve the system of linear equations using the elimination method.
Solve the system of linear equations using the elimination method.
1
The sum of two numbers is 30 and their difference is 12. Find the two numbers. (Use the steps provided.) Show all your work.
The sum of two numbers is 30 and their difference is 12. Find the two numbers. (Use the steps provided.) Show all your work.

1
Simplify the polynomials and write in Standard Form. Steps:1.) Use the distributive property to remove the parentheses2.) Combine like terms3.) Write the terms in order from highest exponent value to least
Simplify the polynomials and write in Standard Form.
Steps:
1.) Use the distributive property to remove the parentheses
2.) Combine like terms
3.) Write the terms in order from highest exponent value to least
1
Simplify the polynomials and write in Standard Form.Steps:1.) Combine like terms2.) Write the terms in order from highest exponent value to least
Simplify the polynomials and write in Standard Form.
Steps:
1.) Combine like terms
2.) Write the terms in order from highest exponent value to least
1
Use multiplication to simplify the polynomials. Enter your answer in Standard Form.
Use multiplication to simplify the polynomials. Enter your answer in Standard Form.
1
Solve the equation.3t(t + 2) = 0
Solve the equation.
3t(t + 2) = 0
1
Solve the equation. Then select the correct solution set.
Solve the equation. Then select the correct solution set.
1
Solve the equation by factoring AND applying the Zero-Product Property.
Solve the equation by factoring AND applying the Zero-Product Property.

1
Factor the Polynomial.
Factor the Polynomial.
1
Factor the Polynomial.
Factor the Polynomial.
1
Complete the table and graph the quadratic function.
Complete the table and graph the quadratic function.
1
What is the axis of symmetry for the parabola in question 17?
What is the axis of symmetry for the parabola in question 17?
1
What is the vertex of the parabola in question 17?
What is the vertex of the parabola in question 17?
1
What is the domain of the parabola in question 17?
What is the domain of the parabola in question 17?
1
What is the range of the parabola in question 17?
What is the range of the parabola in question 17?
1
Solve this equation using the Quadratic Formula.Steps:1.) Label the terms as: a, b, c2.) Plug in the numeric value for each term in the provided quadratic equation3.) Multiply before subtracting4.) Take the square root before adding/subtracting5.) Divide
Solve this equation using the Quadratic Formula.
Steps:
1.) Label the terms as: a, b, c
2.) Plug in the numeric value for each term in the provided quadratic equation
3.) Multiply before subtracting
4.) Take the square root before adding/subtracting
5.) Divide
1
Solve this equation using the Quadratic Formula.Steps:1.) Label the terms as: a, b, c2.) Plug in the numeric value for each term in the provided quadratic equation3.) Multiply before subtracting4.) Take the square root before adding/subtracting5.) Divide
Solve this equation using the Quadratic Formula.
Steps:
1.) Label the terms as: a, b, c
2.) Plug in the numeric value for each term in the provided quadratic equation
3.) Multiply before subtracting
4.) Take the square root before adding/subtracting
5.) Divide