Log in
Sign up for FREE
arrow_back
Library
5. Reactions of Inorganic compounds
By OASB Science
star
star
star
star
star
Share
share
Last updated over 4 years ago
15 questions
Add this activity
1 point
1
Question 1
1.
Attempt 1
visibility
View drawing
1 point
1
Question 2
2.
Attempt 2
visibility
View drawing
1 point
1
Question 3
3.
Attempt 3
visibility
View drawing
1 point
1
Question 4
4.
visibility
View drawing
zoom_in
5
zoom_in
1 point
1
Question 5
5.
visibility
View drawing
zoom_in
zoom_in
zoom_in
6
zoom_in
1 point
1
Question 6
6.
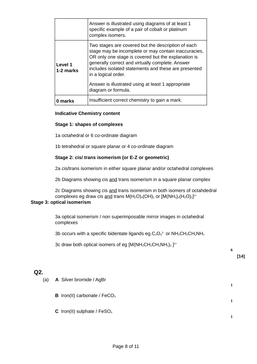
A
B
C
7
zoom_in
1 point
1
Question 7
7.
A
B
C
8
zoom_in
1 point
1
Question 8
8.
A
B
C
9
zoom_in
1 point
1
Question 9
9.
A
B
C
zoom_in
zoom_in
zoom_in
zoom_in
zoom_in
zoom_in
zoom_in
zoom_in
zoom_in
zoom_in
zoom_in
zoom_in
10
11
12
13
14
15
zoom_in
1 point
1
Question 10
10.
1 point
1
Question 11
11.
1 point
1
Question 12
12.
1 point
1
Question 13
13.
1 point
1
Question 14
14.
1 point
1
Question 15
15.
zoom_in