Log in
Sign up for FREE
arrow_back
Library

Unit 9 Test

star
star
star
star
star
Last updated almost 4 years ago
10 questions
0
2
3
3
2
3
2
4
1
3
Question 1
1.

By submitting this assessment, I am affirming that I have not given or received any unauthorized help on this assignment, and that this work is my own.

Question 2
2.

Find the root(s) of the function by graphing.


If there are no roots, just type None.
If there is more than one solution, put a comma and no spaces between your answers.
Only write the numerical values. You don't need the x= part.
Round to the nearest hundredth, if necessary.

Question 3
3.

Solve the quadratic equation by taking square roots. Show your work to justify your answer.


Write your answer as exact number(s). (Remember to simplify your square roots as much as possible).

If there is No Solution, just type None.
If there is more than one solution, put a comma and no spaces between your answers.
Only write the numerical values. You don't need the x= part.

Question 4
4.

Solve the quadratic equation by factoring. Show your work to justify your answer.


Write your answer as exact number(s). (Remember to simplify your square roots as much as possible).

If there is No Solution, just type None.
If there is more than one solution, put a comma and no spaces between your answers.
Only write the numerical values. You don't need the x= part.

Question 5
5.

Question 6
6.

Find the zero(s) of the quadratic function, using any method EXCEPT GRAPHING. Show your work to justify your answer.


Write your answer as exact number(s). (Remember to simplify your square roots as much as possible).

If there are no zeros, just type None.
If there is more than one solution, put a comma and no spaces between your answers.
Only write the numerical values. You don't need the x= part.

Question 7
7.

Question 8
8.

What are the x-intercept(s) of the equation? Show your work to justify your answer.


Write your answer as exact number(s). (Remember to simplify your square roots as much as possible).

If there is No Solution, just type No.
If there is more than one solution, put a comma and no spaces between your answers.
Only write the numerical values. You don't need the x= part.

Question 9
9.

Question 10
10.

Type the equation for the curve of best fit for #9. Round to the nearest hundredth, if necessary.

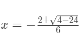
Which answer choice correctly substitutes the values into the quadratic formula to solve the equation? Show your work to justify your answer.

What are the solutions for the equation? Show your work to justify your answer.

Which type of regression best fits the data? Use the desmos calculator below to help you.


Linear curve of best fit
Quadratic curve of best fit