Log in
Sign up for FREE
arrow_back
Library
Check in
By Marika Bujaki
star
star
star
star
star
Share
share
Last updated over 4 years ago
3 questions
Add this activity
1 point
1
Question 1
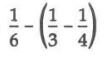
1.
visibility
View drawing
1 point
1
Question 2
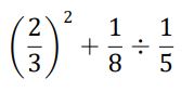
2.
visibility
View drawing
1 point
1
Question 3
3.
visibility
View drawing