Log in
Sign up for FREE
arrow_back
Library
Math 9FI - Ch. 9 Devoir Problèmes de mots des inéquations
By Brianna Lamarche
star
star
star
star
star
Share
share
Last updated over 4 years ago
8 questions
Add this activity
1
2
3
4
zoom_in
0 points
0
Question 1
1.
1. a)
visibility
View drawing
9.P.4
0 points
0
Question 2
2.
1. b)
visibility
View drawing
9.P.4
0 points
0
Question 3
3.
2.
visibility
View drawing
9.P.4
0 points
0
Question 4
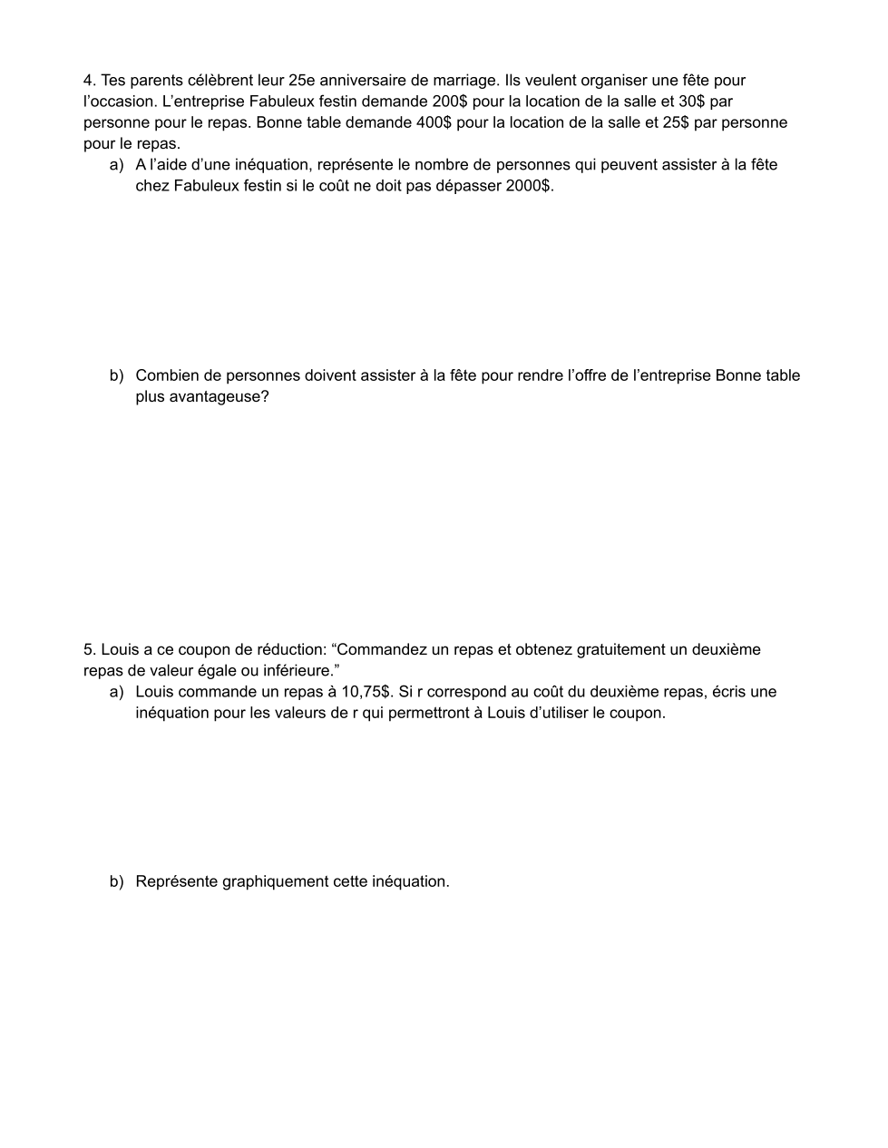
4.
3.
visibility
View drawing
9.P.4
5
6
7
8
zoom_in
0 points
0
Question 5
5.
4. a)
visibility
View drawing
9.P.4
0 points
0
Question 6
6.
4. b)
visibility
View drawing
9.P.4
0 points
0
Question 7
7.
5. a)
visibility
View drawing
9.P.4
0 points
0
Question 8
8.
5. b)
visibility
View drawing
9.P.4