Unit 10 Master
star
star
star
star
star
Last updated over 2 years ago
26 questions

1
1
1
What type of non-removable discontinuity is the x-value from the previous question?
What type of non-removable discontinuity is the x-value from the previous question?
1
1
What type of non-removable discontinuity is the x-value from the previous question?
What type of non-removable discontinuity is the x-value from the previous question?
1
State the left-hand behavior of the function
State the left-hand behavior of the function
1
State the right-hand behavior of the function
State the right-hand behavior of the function
1
State the left-hand behavior of the function
State the left-hand behavior of the function
1
State the r-hand behavior of the function
State the r-hand behavior of the function
1
Identify the domain. Answer as an interval. Use "union" if needed. No spaces.
Identify the domain. Answer as an interval. Use "union" if needed. No spaces.
1
Identify the range. Answer as an interval. Use "union" if needed. No spaces.
Identify the range. Answer as an interval. Use "union" if needed. No spaces.

1
Identify the restricted values. Put a comma with no space if there is more than one.
Identify the restricted values. Put a comma with no space if there is more than one.
1
Classify these discontinuities as removable or non-removable.
-3
Classify these discontinuities as removable or non-removable.
-3
1
Classify these discontinuities as removable or non-removable.
3
Classify these discontinuities as removable or non-removable.
3
1
Identify the domain. Answer as an interval. Use "union" if needed. No spaces.
Identify the domain. Answer as an interval. Use "union" if needed. No spaces.

1
Identify the restricted values. Put a comma with no space if there is more than one.
Identify the restricted values. Put a comma with no space if there is more than one.
1
Classify these discontinuities as removable or non-removable.
5
Classify these discontinuities as removable or non-removable.
5
1
Identify the domain. Answer as an interval. Use "union" if needed. No spaces.
Identify the domain. Answer as an interval. Use "union" if needed. No spaces.
1
What is the EQUATION for the vertical asymptote for the following function:
What is the EQUATION for the vertical asymptote for the following function:
1
If any exists, what are the coordinates of the holes for the following function:
If any exists, what are the coordinates of the holes for the following function:
1
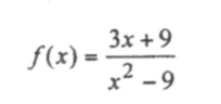
Identify the equation of the vertical asymptote. Use a comma space if there is more than one.
Identify the equation of the vertical asymptote. Use a comma space if there is more than one.
1
Identify the equation of the horizontal asymptote.
Identify the equation of the horizontal asymptote.
1
Identify the coordinates of the hole
Identify the coordinates of the hole
1
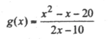
Identify the equation of the vertical asymptote. Use a comma space if there is more than one.
Identify the equation of the vertical asymptote. Use a comma space if there is more than one.
1
Identify the equation of the horizontal asymptote.
Identify the equation of the horizontal asymptote.
1
Identify the coordinates of the hole
Identify the coordinates of the hole