Leçon 31 Quiz
star
star
star
star
star
Last updated over 4 years ago
21 questions

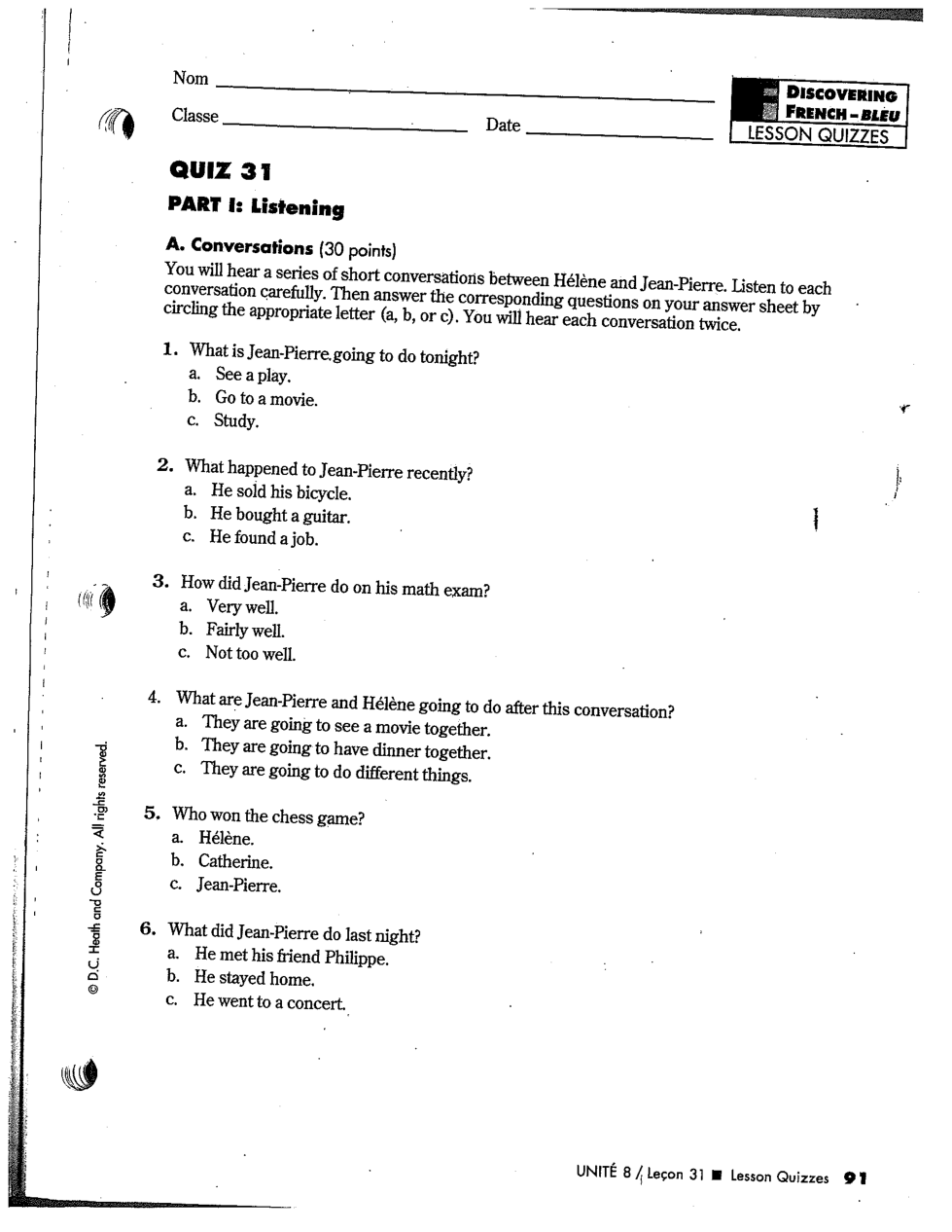
1
What is Jean-Pierre going to do tonight?
What is Jean-Pierre going to do tonight?
1
What happened to Jean-Pierre recently?
What happened to Jean-Pierre recently?
1
How did Jean-Pierre do on his math exam?
How did Jean-Pierre do on his math exam?
1
What are Jean-Pierre and Hélène going to do after this conversation?
What are Jean-Pierre and Hélène going to do after this conversation?
1
Who won the chess game?
Who won the chess game?
1
What did Jean-Pierre do last night?
What did Jean-Pierre do last night?

2
Present tenseAlice ________ un petit village.
Present tense
Alice ________ un petit village.
2
Present tense Nous ________ des bateaux.
Present tense
Nous ________ des bateaux.
2
Present tenseJulien et Martin ________ la mer.
Present tense
Julien et Martin ________ la mer.
2
Present tenseTu ________ une belle maison.
Present tense
Tu ________ une belle maison.
2
Present tenseJe ________ un car de touristes.
Present tense
Je ________ un car de touristes.
2
Present tenseVous ________ des campeurs.
Present tense
Vous ________ des campeurs.

3
(rendre) Marc __________ visite à son cousin.
(rendre)
Marc __________ visite à son cousin.
3
(voir) Nous __________ un film à la télé.
(voir)
Nous __________ un film à la télé.
3
(faire) Monsieur Thibault __________ une pizza.
(faire)
Monsieur Thibault __________ une pizza.
3
(mettre) Tu __________ la table.
(mettre)
Tu __________ la table.
3
(avoir) Caroline __________ un rendez-vous.
(avoir)
Caroline __________ un rendez-vous.
3
(finir) Bruno __________ un livre.
(finir)
Bruno __________ un livre.
3
(attendre) Alice et Paul __________ leur copain au café.
(attendre)
Alice et Paul __________ leur copain au café.
3
(être) Vous __________ à un concert de jazz.
(être)
Vous __________ à un concert de jazz.
12
Describe THREE interesting things you did recently. You may wish to use some of the verbs in the box.
Describe THREE interesting things you did recently. You may wish to use some of the verbs in the box.