Log in
Sign up for FREE
arrow_back
Library

REVIEW QUIZ -UNIT 3,4,5

star
star
star
star
star
Last updated almost 5 years ago
16 questions
1
1
1
1
1
1
1
1
1
1
1
1
1
1
1
1
Question 1
1.

2 Marks

Question 2
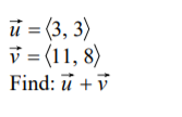
2.

2 marks

Question 3
3.

The pitcher’s mound on a women’s softball field is 43 feet from home plate and the distance between the bases is 60 feet (The pitcher’s mound is not halfway between home plate and second base.) How far is the pitcher’s mound from first base? 3Marks

Question 4
4.

Question 5
5.

Write the equation of the circle with center (4, –2) and radius 3. 1Mark

Question 6
6.

Write the equation of the Hyperbola in standard form.
1 Mark

Question 7
7.

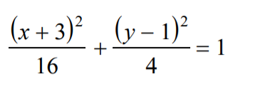
Identify the center, vertices, co-vertices, and foci of the given ellipse
1 Marks

Question 8
8.

Use the information provided to write the vertex form equation of parabola.
1 Mark

Question 9
9.

What’s the standard form of an ellipse? 1 Mark

Question 10
10.

2 Mark

Question 11
11.

2 Mark

Question 12
12.

2 Mark

Question 13
13.

2 Mark

Question 14
14.

Find v+2w 1Mark

Question 15
15.

1 Mark

Question 16
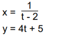
16.

Write as a rectangular equation by elliliminating the parameter 2 Marks

Find the value of x. 1 Marks
21
69.36
70
22