Log in
Sign up for FREE
arrow_back
Library

IA8-5 Using Patterns to Factor Quadratics

star
star
star
star
star
Last updated almost 5 years ago
15 questions
1
1
1
1
1
1
1
1
1
1
1
1
1
1
1
For today's lesson, we are going to:
- Practice multiplying binomials
- Focus on the patterns
- Reverse the process
Question 1
1.

Multiply and simplify


To type x-squared, type x, shift 6, then 2.

Question 2
2.

Multiply and simplify

If you struggled with the first few problems, watch the video below to see two different methods of multiplying binomials. If you feel comfortable, you can skip it.
Today, we'll be focusing on the patterns that we see when we multiply binomials. We'll then use the pattern to reverse the process, which is called factoring. First, we need some common vocabulary. When you multiply binomials (also called binomial factors), we typically end up with a quadratic expression or equation (at least we do for this unit). This is the most common form:

Where "a" is the coefficient (number multiplied by) the x-squared (or x to the second power), "b" is the coefficient for x, and c is a constant (a number with no variable attached).
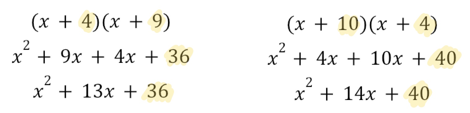
Look at the four problems below. What pattern do you notice about the parts highlighted in yellow?


Question 3
3.

Let's generalize (create a formula) for multiplying two binomials
When multiplied out, the "c" value for this quadratic expression is:

If that made sense to you, great! If not, watch the video below.
Question 4
4.

Finding all the whole number factors of a number is much easier if you have the multiplication table memorized, but there is also a simple way to do it if you struggle to remember your multiplication table. This method is also helpful when you are trying to figure out what numbers go into the binomial factors.
Question 5
5.

Which pairs of binomial factors might multiply to give us the quadratic below? (we can't know for sure because we don't know "b"). Select all that apply.

Question 6
6.

Which pairs of binomial factors might multiply to give us the quadratic below? (we can't know for sure because we don't know "b"). Select all that apply.

Question 7
7.

Which pairs of binomial factors might multiply to give us the quadratic below? (we can't know for sure because we don't know "b"). Select all that apply.

Look at the four problems below. What pattern do you notice about the parts highlighted in green? (you don't need to enter an answer, just think about it)


Question 8
8.

Let's generalize (create a formula) for multiplying two binomials
When multiplied out, the "b" value for this quadratic expression is:

Question 9
9.

Now that we know the "b" value, what is the factored form of the quadratic (meaning, which pair of binomials multiply to give us the quadratic below?

Question 10
10.

Now that we know the "b" value, what is the factored form of the quadratic (meaning, which pair of binomials multiply to give us the quadratic below?

Question 11
11.

Now that we know the "b" value, what is the factored form of the quadratic (meaning, which pair of binomials multiply to give us the quadratic below?

If you struggled with any of the last few problems, the video below may help.
Question 12
12.

Find the factored form of the quadratic below. For many, you may need some scratch paper.

To type your answer, be sure that both binomial factors have parentheses around them and that you haven't put any spaces.

Question 13
13.

Find the factored form of the quadratic below. For many, you may need some scratch paper.

To type your answer, be sure that both binomial factors have parentheses around them and that you haven't put any spaces.

Question 14
14.

Find the factored form of the quadratic below. For many, you may need some scratch paper.

To type your answer, be sure that both binomial factors have parentheses around them and that you haven't put any spaces.

Question 15
15.

Find the factored form of the quadratic below. For many, you may need some scratch paper.

To type your answer, be sure that both binomial factors have parentheses around them and that you haven't put any spaces.

Let's start by factoring a number, and keeping those factors in pairs. Which of the following are factors of 30? (which pairs will multiply to equal 30). Select all that apply.
1 and 30
10 and 20
15 and 15
2 and 15
3 and 10
4 and 26
5 and 6
(x+2)(x+9)
(x+4)(x+14)
(x+3)(x+6)
(x+1)(x+18)
(x+2)(x+18)
(x+5)(x+4)
(x+1)(x+20)
(x+8)(x+12)
(x+3)(x+18)
(x+5)(x+16)
(x+3)(x+7)
(x+2)(x+19)
(x+3)(x+18)
(x+5)(x+16)
(x+3)(x+7)
(x+2)(x+19)
(x+2)(x+18)
(x+5)(x+4)
(x+1)(x+20)
(x+8)(x+12)
(x+2)(x+9)
(x+4)(x+14)
(x+3)(x+6)
(x+1)(x+18)