Log in
Sign up for FREE
arrow_back
Library

Complex Inheritance Practice

star
star
star
star
star
Last updated about 4 years ago
27 questions
2
1
1
1
1
1
1
1
1
1
2
1
1
9
1
1
1
1
1
1
1
1
1
1
1
1
1
Question 1
1.

How are incomplete dominance and codominance similar? Select all that are correct.

Question 2
2.

How is incomplete dominance different from codominance?

Question 3
3.

Match the example on the right as either incomplete dominance or codominance or neither.

  • roan cattle have red and white hairs mixed
  • curly x straight --> wavy hair
Question 4
4.

Question 5
5.

Suppose you mate a black rooster with a white hen. The feathers of all the offspring are black. The F2 generation is 3:1, black to white. What is the inheritance pattern in these chickens?

Question 6
6.

Question 7
7.

Question 8
8.

Question 9
9.

Question 10
10.

If a type O person marries a type AB person, what blood types could occur in their children? Select all that are possible.

Question 11
11.

If a type A man marries a type B woman, what blood types could occur in their children? Select all that are possible.

Question 12
12.

Two parents do not know their blood type. However, the couple has a child with type B blood and a child with type O. What is the only choice listed that could be the parents' blood types?

Question 13
13.

Jimmy has type A blood. Jimmy is about to undergo a routine operation, but the doctors still want some blood on hand in case a transfusion is necessary. Jimmy’s mother has type A blood. Jimmy’s father has type AB blood. His cousin Alexa has type O and another cousin Nate has type B. Who can donate blood that would be safe for Jimmy?

Question 14
14.

Question 15
15.

Hemophilia (h) is a recessive disease caused by a gene found on the X chromosome. A normal man marries a woman who's father had hemophilia. What is the chance that the couple will have a child with hemophilia?

Question 16
16.

Colorblindness (c) is a recessive, sex-linked trait. A couple has a family of six: one son is colorblind, and one has normal vision. Two daughters have normal color vision and two are colorblind. One of the parents is colorblind -- which one, and how do you know?

Question 17
17.

A colorblind woman who carries a hemophilia gene has children with a male hemophiliac with no colorblindness. What is predicted for their sons?

Question 18
18.

A colorblind woman who carries a hemophilia gene has children with a male hemophiliac with no colorblindness. What is predicted for their daughters?

Question 19
19.

Before Mendel, the chief theory of heredity was “bloodline inheritance.” According to this theory, the parents’ traits are blended in the offspring, just as two liquids blend when mixed together. Mendel’s theory rested on the idea that traits are transmitted by particles (genes) and do not blend. What genetic evidence supports this older theory?

Question 20
20.


There is a recessive coat coloration pattern in rabbits, and some dogs and cats called Himalayan. A Himalayan animal has darker fur on colder parts of the body (ears, nose, feet, tail). This is part of a multiple allele system: brown (C) is dominant to both white (c) and to Himalayan (ch), and Himalayan is dominant to white. A brown male is mated to a Himalayan female, and they have offspring of all three coat colors, brown, white and Himalayan. What are the parents' genotypes?

Question 21
21.

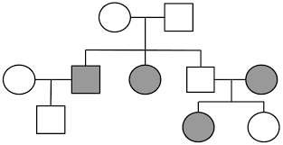
Look at the following pedigree.


What inheritance pattern is shown here, and how do you know?

Question 22
22.

Look at the following pedigree.

What inheritance pattern is shown here, and how do you know?

Question 23
23.

Look at the following pedigree.


What information from the pedigree tells you that this trait must be dominant?

Question 24
24.

Look at the following pedigree.


Categorize the statements below as "true" or "false".

  • generation III has a set of twins
  • the twins shown are identical
Question 25
25.

Labrador Retrievers have three coat colors: Black, Chocolate, and Yellow.


Black (B) is dominant to chocolate (b). There is a second gene, E, which allows the pigment to be put in the fur. If the dog has two recessive alleles (ee) it will be yellow, no matter what the Bb combination is.

You cross a chocolate lab, whose mother was yellow, with a black lab that is heterozygous for both genes. What are the genotypes of the two dogs?

Question 26
26.

Question 27
27.

A certain yellow lab mated to a certain chocolate lab consistently produces 100% black offspring in multiple litters. How is this possible? Explain using your knowledge of epistasis in Labrador Retrievers and please show your work.

more men than women are hemophiliacs
AB type blood
purple x white --> purple flowers

long x short stem --> medium length
black x white chickens --> Black and white speckled (Erminette)
red roses x white roses --> pink
Incomplete Dominance
Codominance
Neither
In a cross between individuals of a species of tropical fish, all of the male offspring have long tail fins, and none of the females possess the trait. Mating two of the F1 fish (the offspring from the first generation) fails to produce females with the trait. However, the trait reappears in 50% of the F2 generation. what is the most likely inheritance pattern of the trait?

simple dominant/recessive
polygenic inheritance
X-linked recessive
incomplete dominance
codominance
multiple alleles
simple dominant/recessive
polygenic inheritance
X-linked recessive
incomplete dominance
codominance
A farmer notices that the length of his watermelons ranges from very long to very short with many watermelons falling in-between at average lengths. What type of inheritance is this?

simple dominant/recessive
polygenic inheritance
X-linked recessive
incomplete dominance
codominance
In a certain species of insect, three eye colors are known: red, orange, and yellow. If purebred red-eyed individuals are crossed with purebred orange-eyed, all the offspring are red-eyed. If purebred orange-eyed are crossed with purebred orange-eyed, all the offspring are orange-eyed. If purebred red-eyed are crossed with purebred yellow-eyed, all the offspring are red-eyed. What is the most likely method of inheritance?

simple dominant/recessive
polygenic inheritance
X-linked recessive
incomplete dominance
codominance
You have a number of plants belonging to an F2 generation. About 1/4 have no thorns, about 1/4 have long thorns, and about 1/2 have short thorns. What type of inheritance is involved?

simple dominant/recessive
polygenic inheritance
X-linked recessive
incomplete dominance
codominance
You discover a species of bird. In the population some have long crests on their heads, some scarcely have any crests, and many have crests showing all possible intermediate lengths. What type of inheritance is involved?

simple dominant/recessive
polygenic inheritance
X-linked recessive
incomplete dominance
codominance
Both O
B and B
AB and O
Nate and Jimmy's father
Alexa and Jimmy's mother
No one -- he is out of luck
Match the possible blood types of children (on right) for the following parent combinations (on left). (HINT: always assume A or B type could be carrying the recessive gene for O type!)
Type B mother, Type AB father
Type B mother, Type B father
Type O mother, Type B father
Type A mother, Type A father
Type AB mother, Type AB father
Type A mother, Type B father
Type A mother, Type O father
Type O mother, Type O father
Type AB mother, Type O father
AB, A, B, or O
AB, A or B
A or O
B or O
A or B
O only
50%
75%
100%
Must be the Dad because one of the sons is colorblind.
Must be the Mom because one of the sons is colorblind.
Must be the Dad; if he wasn't none of the daughters would be colorblind.
incomplete dominance
codominance
sex-linked inheritance
male: Cch, female: Cch
male: Cc, female: chc
male: Cch, female: Cc
male: Cc, female: chch
Recessive, because fewer people show the trait.
Recessive, because fewer people show the trait.
The second child must have inherited a recessive gene from each parent
the trait shown is autosomal dominant
the trait shown is autosomal recessive
the trait shown is X-linked recessive
the trait has affected men and women equally
the trait shown cannot be Y-linked
True
False
Unable to determine
BBee & bbee
bbee & BBEE
See previous question for information about Lab coat colors.


If you cross the parents from the previous question, what colors of puppies are possible?
All Black
All Chocolate
All Yellow
mix of black and yellow
mix of black and chocolate
mix of chocolate and yellow
mix of all three colors