Linear Piecewise Functions - Exit Ticket
star
star
star
star
star
Last updated almost 5 years ago
2 questions
1
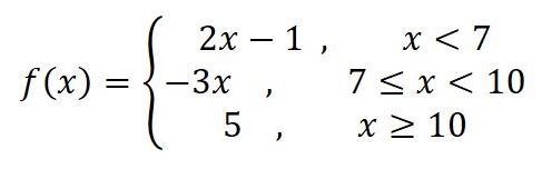
Evaluate the following for the piecewise function above.a. f(5) b. f(12) c. f(8)
Evaluate the following for the piecewise function above.
a. f(5) b. f(12) c. f(8)
1
What is the piecewise function for the following graph?
What is the piecewise function for the following graph?