Log in
Sign up for FREE
arrow_back
Library

Preview to Acids & Bases

star
star
star
star
star
Last updated almost 5 years ago
25 questions
1
1
1
1
1
1
1
1
1
1
1
1
1
1
1
1
1
1
1
1
1
1
1
1
1
Question 1
1.

What is an electrolyte? (Look up the definition if you do not remember!)

Question 2
2.

Water is NOT an electrolyte. Explain this fact.

Question 3
3.

What happens when soluble salts dissolve in water? Describe this phenomenon. Sketch a model to show the phenomenon in the "show your work" spot. (Remember to include all characteristics of a good model!)

Question 4
4.

Write the dissociation (ionization) equation for each:

Question 5
5.

b), e) and f) of #4 are acids.
Write a statement that would tell someone what to look for in the chemical formula to identify an acid.

Use your resources to name the substances given in #4
Question 6
6.

a) NaCl(s)

Question 7
7.

b) HCl

Question 8
8.

c) LiOH

Question 9
9.

d) Ba(OH)2

Question 10
10.

e) HC2H3O2

Question 11
11.

f) H3PO4

Question 12
12.

c) and d) of #4 are bases.
Write a statement that would tell someone what to look for in the chemical formula to identify a base.

At a quick glance, alcohols (CH3OH and C2H5OH) look like bases but they DO NOT contain +/- ions like bases!
Question 13
13.

List three additional acids:

Question 14
14.

List three additional bases:

Question 15
15.

What do you know about the pH scale? What does the pH scale measure?

Question 16
16.

What is the pH of pure water?

Question 17
17.

Define a salt. (Look up the chemistry definition if you need to).

Question 18
18.

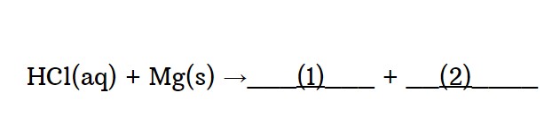
Complete the single replacement reaction. Write the formula of the missing product #1.

Question 19
19.

Complete the single replacement reaction. Write the formula of the missing product #2.

Question 20
20.

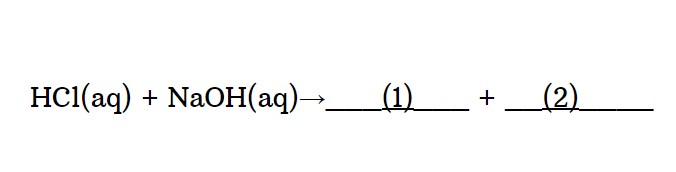
Complete the double replacement reaction. Write the formula of the missing product #1.


Question 21
21.

Complete the double replacement reaction. Write the formula of the missing product #2.


Regents Exam Questions:
Question 22
22.

Which substance, when dissolved in water, forms a solution that conducts an electric current?

Question 23
23.

Select two indicators from Refernce Table M that are yellow in solutions with a pH of 5.5.

Question 24
24.
  • HNO3
  • Ca(OH)2
  • CH3COOH
  • CH3OH
  • NH3
  • ACID
Question 25
25.

Draw the Lewis electron-dot diagram to represent a hydroxide ion.

CH3COOH
bromcresol green
phenolphthalein
methyl orange
BASE
OTHER