Log in
Sign up for FREE
arrow_back
Library
Alg462 Solving Exponential Equations, Day 1
By Cheryl Capitani
star
star
star
star
star
Share
share
Last updated almost 5 years ago
15 questions
Add this activity
1
1
1
1
1
1
1
1
1
1
1
1
1
1
1
Question 1
1.
Solve the equation:
visibility
View drawing
Question 2
2.
Solve the equation:
visibility
View drawing
Question 3
3.
Solve the equation:
visibility
View drawing
Question 4
4.
Solve the equation:
visibility
View drawing
Question 5
5.
visibility
View drawing
Question 6
6.
Solve the equation:
visibility
View drawing
Question 7
7.
Solve the equation:
visibility
View drawing
Question 8
8.
Solve the equation:
visibility
View drawing
Question 9
9.
Solve the equation:
visibility
View drawing
Question 10
10.
Solve the equation:
visibility
View drawing
Question 11
11.
Solve the equation:
visibility
View drawing
Question 12
12.
Solve the equation:
visibility
View drawing
Question 13
13.
Solve the equation:
visibility
View drawing
Question 14
14.
Solve the equation:
visibility
View drawing
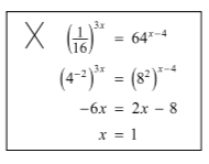
Question 15
15.
Describe and correct the error in solving the exponential equation below.
visibility
View drawing