Log in
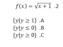
Sign up for FREE
arrow_back
Library
دوال الجذر التربيعي
By Zainab Hasan
star
star
star
star
star
Share
share
Last updated almost 5 years ago
8 questions
Add this activity
1
1
1
1
1
1
1
1
Question 1
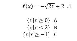
1.
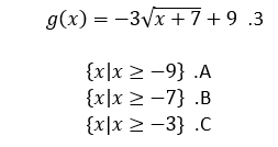
ما مجال الدالة
A
B
C
Question 2
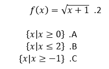
2.
ما مجال الدالة
A
B
C
Question 3
3.
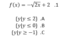
ما مجال الدالة
A
B
C
Question 4
4.
ما مدى الدالة
A
B
C
Question 5
5.
ما مدى الدالة
A
B
C
Question 6
6.
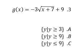
ما مدى الدالة
A
B
C
Question 7
7.
A
B
C
D
Question 8
8.
A
B
C
D