06 Scatter Plots and Correlation Coefficients
star
star
star
star
star
Last updated over 4 years ago
15 questions
1
Complete the scatter plot below. Find the Line of Best Fit and the Correlation Coefficient.
Complete the scatter plot below. Find the Line of Best Fit and the Correlation Coefficient.
1
Complete the scatter plot below. Find the Line of Best Fit and the Correlation Coefficient.
Complete the scatter plot below. Find the Line of Best Fit and the Correlation Coefficient.
1
Complete the scatter plot below. Find the Line of Best Fit and the Correlation Coefficient.
Complete the scatter plot below. Find the Line of Best Fit and the Correlation Coefficient.
1
Complete the scatter plot below. Find the Line of Best Fit and the Correlation Coefficient.
Complete the scatter plot below. Find the Line of Best Fit and the Correlation Coefficient.
1
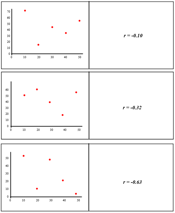
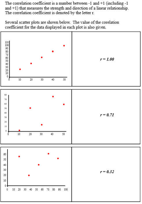
Below there are six scatter plots, six correlation coefficients, and six terms. Match the appropriate r-value with the scatter plot it most likely corresponds to. Then match the term you think is most appropriate to the r-value as well (not to the graph). Use different colors for each matched set to link all 3 together.
Below there are six scatter plots, six correlation coefficients, and six terms. Match the appropriate r-value with the scatter plot it most likely corresponds to. Then match the term you think is most appropriate to the r-value as well (not to the graph). Use different colors for each matched set to link all 3 together.
1
1
1
1
1
1
1
1
1
1