Log in
Sign up for FREE
arrow_back
Library

Piecewise & Step Functions

star
star
star
star
star
Last updated almost 5 years ago
14 questions
1
1
1
1
1
1
1
1
1
1
1
1
1
1
Question 1
1.

Question 2
2.

Question 3
3.

Question 4
4.

Question 5
5.

A driver leaves home for a business trip and drives at a constant speed of 60 miles per hour for 2 hours. Her car gets a flat tire, and she spends 30 minutes changing the tire. She resumes driving and drives at
30 miles per hour for the remaining one hour until she reaches her destination.

On the set of axes shown, draw a graph that models the driver's distance from home.

Question 6
6.

The equation to determine the weekly earnings of an employee at The Hamburger Shack is given by w(x), where x is the number of hours worked.


Determine the difference in salary, in dollars, for an employee who works 52 hours versus one who works 38 hours.

Question 7
7.

The equation to determine the weekly earnings of an employee at The Hamburger Shack is given by w(x), where x is the number of hours worked.


Determine the number of hours an employee must work in order to earn $445.

Question 8
8.

The equation to determine the weekly earnings of an employee at The Hamburger Shack is given by w(x), where x is the number of hours worked.


Explain how you determined the number of hours needed to be worked to earn $445.

Question 9
9.

On the set of axes provided, graph


How many values of x satisfy the equation f(x) = g(x) ?

Question 10
10.

On the set of axes provided, graph


Explain your answer, using evidence from your graph.

Question 11
11.

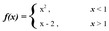
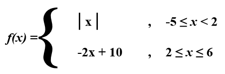
On the set of axes provided, graph the piecewise function:

Question 12
12.

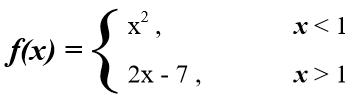
Graph the following piecewise function on the set of axes provided.

Question 13
13.

Graph the following piecewise function on the set of axes provided.

Question 14
14.

Graph the function:

Morgan can start wrestling at age 5 in Division 1. He remains in that division until his next odd birthday when he is required to move up to the next division level. Which graph correctly represents this information?

[Space is provided for optional work.]
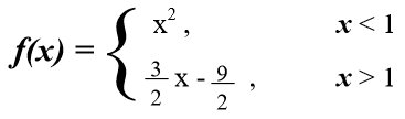
When the function below is graphed correctly, how should the points be drawn on the graph for an x-value of 3?


[Space is provided for optional work.]
open circles at (3, 15) and (3, 13)
closed circles at (3, 15) and (3, 13)
an open circle at (3, 15) and a closed circle at (3, 13)
a closed circle at (3, 15) and an open circle at (3, 13)
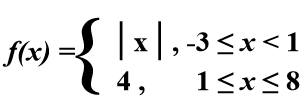
Which graph represents


[Space is provided for optional work.]
A function is graphed on the set of axes shown.

Which function is related to the graph?

[Space is provided for optional work.]