IB Bio Final 2020-21_VA cloned 6/10/2021
star
star
star
star
star
Last updated over 4 years ago
30 questions
1
The salt concentration inside an animal cell is 1.8 %. The salt concentration in the surroundingmedium becomes 5 %. What will be the likely response?
The salt concentration inside an animal cell is 1.8 %. The salt concentration in the surrounding
medium becomes 5 %. What will be the likely response?

1
Which conclusion can be drawn, based on these data?
Which conclusion can be drawn, based on these data?
1
Which process causes ADP to change to ATP?
Which process causes ADP to change to ATP?
1
What occurs during meiosis but not mitosis?
What occurs during meiosis but not mitosis?

1
Which two processes correspond to the labelled arrows?
Which two processes correspond to the labelled arrows?

1
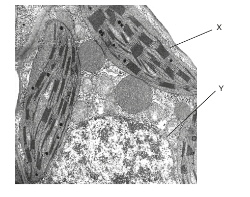
What is the name of the cell component labelled Y?
What is the name of the cell component labelled Y?
1
Which feature of the cell in the micrograph is consistent with the endosymbiotic theory?
Which feature of the cell in the micrograph is consistent with the endosymbiotic theory?
1
Which sequence has the cells arranged according to their ability to differentiate, starting from the least able?
Which sequence has the cells arranged according to their ability to differentiate, starting from the least able?

1
1
How many chromosomes are there in a cell during anaphase of mitosis, if the diploid number of the cell is 20?
How many chromosomes are there in a cell during anaphase of mitosis, if the diploid number of the cell is 20?

1

1
A 9-year-old boy has a height of 120 cm and weighs 28.8 kg. What weight category is he in according to his BMI?
A 9-year-old boy has a height of 120 cm and weighs 28.8 kg. What weight category is he in according to his BMI?

1
In a coding gene, the DNA triplet in the transcribed strand is changed from AGG to TCG. What would be the result of this change in the genome?
In a coding gene, the DNA triplet in the transcribed strand is changed from AGG to TCG. What would be the result of this change in the genome?

1
1
What is the reason for Taq DNA polymerase being used in the polymerase chain reaction (PCR)?
What is the reason for Taq DNA polymerase being used in the polymerase chain reaction (PCR)?

1
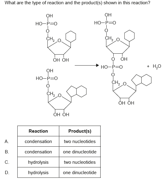
Which diagram(s) represent(s) processes used in asexual reproduction?
Which diagram(s) represent(s) processes used in asexual reproduction?

1
What is shown by the graph?
What is shown by the graph?

1
What is the mode of inheritance of the genetic disease?
What is the mode of inheritance of the genetic disease?
1
Tall heterozygous pea plants were crossed and the resulting seeds grown. Out of 360 plants,270 were tall and 90 dwarf. What describes the expected genotypes resulting from the cross?
Tall heterozygous pea plants were crossed and the resulting seeds grown. Out of 360 plants,
270 were tall and 90 dwarf. What describes the expected genotypes resulting from the cross?
1
What are all the possible phenotypes of children born to a mother with blood group AB and afather with blood group A?
What are all the possible phenotypes of children born to a mother with blood group AB and a
father with blood group A?

1
1
How can a chi-squared test be used in ecological research?
How can a chi-squared test be used in ecological research?
1
Under certain conditions, living organisms on Earth produce and release methane. Whatfavors the production of methane?
Under certain conditions, living organisms on Earth produce and release methane. What
favors the production of methane?
1
The oceans absorb much of the carbon dioxide in the atmosphere. The combustion of fossilfuels has increased carbon dioxide ocean concentrations. What adverse effect does thishave on marine life?
The oceans absorb much of the carbon dioxide in the atmosphere. The combustion of fossil
fuels has increased carbon dioxide ocean concentrations. What adverse effect does this
have on marine life?
1
What process best explains the formation of different pentadactyl limbs?
What process best explains the formation of different pentadactyl limbs?
1
What would restrict evolution by natural selection, if a species only reproduced by cloning?
What would restrict evolution by natural selection, if a species only reproduced by cloning?
1
An animal has the following characteristics: bilateral symmetry, mouth but no anus, ribbonshape. Which phylum does the animal belong to?
An animal has the following characteristics: bilateral symmetry, mouth but no anus, ribbon
shape. Which phylum does the animal belong to?

1

1
Which of these structures is not homologous?
Which of these structures is not homologous?

1
If the data were used to draw a cladogram, which chordates would be furthest apart from humans?
If the data were used to draw a cladogram, which chordates would be furthest apart from humans?