06. Ch9 Quiz (EMPTY)
star
star
star
star
star
Last updated 4 months ago
12 questions
- Timer = 60 mins
- Questions are randomized.
- Always look at the hints, math packet, and notebook.
- See your score after submission, cannot edit.
10
Round to 0, 1/2, or 1 using a number line. Or draw a pizza cut up into slices.
Round to 0, 1/2, or 1 using a number line. Or draw a pizza cut up into slices.
10
Round to 0, 1/2, or 1 using a number line. Or draw a pizza cut up into slices.
Round to 0, 1/2, or 1 using a number line. Or draw a pizza cut up into slices.
10
Round to 0, 1/2, or 1 using a number line. Or draw a pizza cut up into slices.
Round to 0, 1/2, or 1 using a number line. Or draw a pizza cut up into slices.
10
Round to 0, 1/2, or 1 using a number line. Or draw a pizza cut up into slices.
Round to 0, 1/2, or 1 using a number line. Or draw a pizza cut up into slices.
10
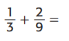
Add. Write sum in simplest form.
Add. Write sum in simplest form.
10
Add. Write sum in simplest form.
Add. Write sum in simplest form.
10
Add. Write sum in simplest form.
Add. Write sum in simplest form.
10
Add. Write sum in simplest form.
Add. Write sum in simplest form.
10
Add. Write sum in simplest form.
Hint: This one is tricky. Look at your notes if you have to.
Add. Write sum in simplest form.
Hint: This one is tricky. Look at your notes if you have to.
10
Subtract. Write the difference in simplest form.
Subtract. Write the difference in simplest form.
10
Subtract. Write the difference in simplest form.
Subtract. Write the difference in simplest form.
10
Hint: "Difference" means to subtract. We are subtracting two fractions.
Hint: "Difference" means to subtract. We are subtracting two fractions.