Log in
Sign up for FREE
arrow_back
Library
5.8 Slope-Intercept Form #1-12
By Mari Yahner
star
star
star
star
star
Share
share
Last updated over 2 years ago
12 questions
Add this activity
1
1
1
1
1
1
1
1
1
1
1
1
5.8 NOTES = ONLINE BOOK PAGE #142
VIDEO LESSON
Question 1
1.
Question 2
2.
Question 3
3.
Question 4
4.
Question 5
5.
Question 6
6.
Question 7
7.
Question 8
8.
Question 9
9.
Question 10
10.
Question 11
11.
Question 12
12.
Identify the
SLOPE
and
y-intercept
of the following line:
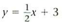
m = 1/2 and b = (0, 3)
m = 3 and b = (0, 1/2)
m = 3 1/2 and b = (0, 0)
Identify the
SLOPE
and
y-intercept
of the following line:
m = 4 and b = (0, -1)
m = -1 and b = (0, 4)
m = 3 and b = (0, 0)
Identify the
SLOPE
and
y-intercept
of the following line:
m = 6 and b = (0, -2/3)
m = -2/3 and b = (0, 6)
m = 2/3 and b = (0, -6)
Identify the
SLOPE
and
y-intercept
of the following line:
m = 5 and b = (0, 3)
m = -3 and b = (0, -5)
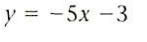
m = -5 and b = (0, -3)
Identify the
SLOPE
and
y-intercept
of the following line:
m = 0 and b = (0, 3/4)
m = -3/4 and b = (0, 1)
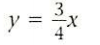
m = 3/4 and b = (0, 0)
Identify the
SLOPE
and
y-intercept
of the following line:
m = -2 and b = (0, 5)
m = 5 and b = (0, -2)
m = 5 and b = (0, 2)
Identify the
SLOPE
and
y-intercept
of the following line:
m = 1 and b = (0, -4)
m = 0 and b = (0, -4)
m = -4 and b = (0, 1)
Identify the
SLOPE
and
y-intercept
of the following line:
m = 8 and b = (0, 0)
m = 3 and b = (0, 5)
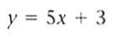
m = 5 and b = (0, 3)
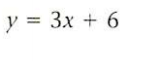
Identify the
SLOPE
and
y-intercept
of the following line:
m = 9 and b = (0, 0)
m = 6 and b = (0, 3)
m = 3 and b = (0, 6)
Identify the
SLOPE
and
y-intercept
of the following line:
y = 1/3x + 1
m = 1 and b = (0, 1/3)
m = 1/3 and b = (0, 1)
m = -2 and b = (0, 1)
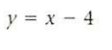
Identify the
SLOPE
and
y-intercept
of the following line:
y = -2x - 4
m = -2 and b = (0, -4)
m = -4 and b = (0, -2)
m = -2 and b = (0, 4)
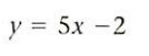
Identify the
SLOPE
and
y-intercept
of the following line:
y = -x
m = -1 and b = (0, 1)
m = -1 and b = (0, 0)
m = 0 and b = (0, 0)