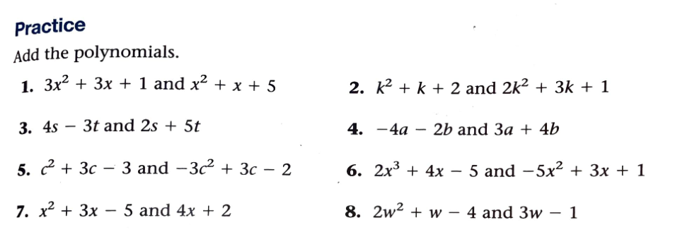
12.2 Adding Polynomials #1-8
star
star
star
star
star
Last updated about 2 years ago
8 questions

1
Add the polynomials.
Add the polynomials.
1
Add the polynomials.
Add the polynomials.
1
Add the polynomials.
Add the polynomials.
1
Add the polynomials.
Add the polynomials.
1
Add the polynomials.
Add the polynomials.
1
Add the polynomials.
Add the polynomials.
1
Add the polynomials.
Add the polynomials.
1
Add the polynomials.
Add the polynomials.