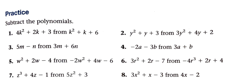
12.3 Subtracting Polynomials #1-8
star
star
star
star
star
Last updated about 2 years ago
8 questions

1
Subtract the polynomials.(Ex:
Subtract the polynomials.
(Ex:
1
Subtract the polynomials.(Ex:
Subtract the polynomials.
(Ex:
1
Subtract the polynomials.(Ex:
Subtract the polynomials.
(Ex:
1
Subtract the polynomials.(Ex:
Subtract the polynomials.
(Ex:
1
Subtract the polynomials.(Ex:
Subtract the polynomials.
(Ex:
1
Subtract the polynomials.(Ex:
Subtract the polynomials.
(Ex:
1
Subtract the polynomials.(Ex:
Subtract the polynomials.
(Ex:
1
Subtract the polynomials.(Ex:
Subtract the polynomials.
(Ex: