Log in
Sign up for FREE
arrow_back
Library
12.9 More Factoring Trinomials #1-6
By Mari Yahner
star
star
star
star
star
Share
share
Last updated over 2 years ago
6 questions
Add this activity
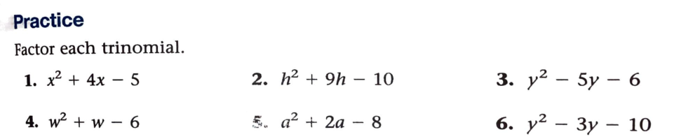
1
2
3
4
5
6
zoom_in
1
1
1
1
1
1
Question 1
1.
Question 2
2.
Question 3
3.
Question 4
4.
Question 5
5.
Question 6
6.
Factor the trinomial.
(x-5)(x+1)
(x+5)(x-1)
(x-4)(x-1)
Factor the trinomial.
(h-9)(h-1)
(h-10)(h+1)
(h+10)(h-1)
Factor the trinomial.
(x-5)(x+1)
(y-6)(y+1)
(y-5)(y-1)
Factor the trinomial.
(w+3)(w-2)
(w-3)(w+2)
(w+6)(w-5)
Factor the trinomial.
(a-8)(a+2)
(a-4)(a+2)
(a+4)(a-2)
Factor the trinomial.
(y+5)(y-2)
(y-5)(y+2)
(y-3)(y-10)